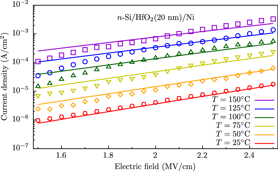
Figure 7
From: Charge transport mechanism in dielectrics: drift and diffusion of trapped charge carriers

Experimental current-field characteristics (symbols) of the n-Si/\(\hbox {HfO}_2\)/Ni structure30 and simulation (lines) in terms of the PATENT model at different temperatures.