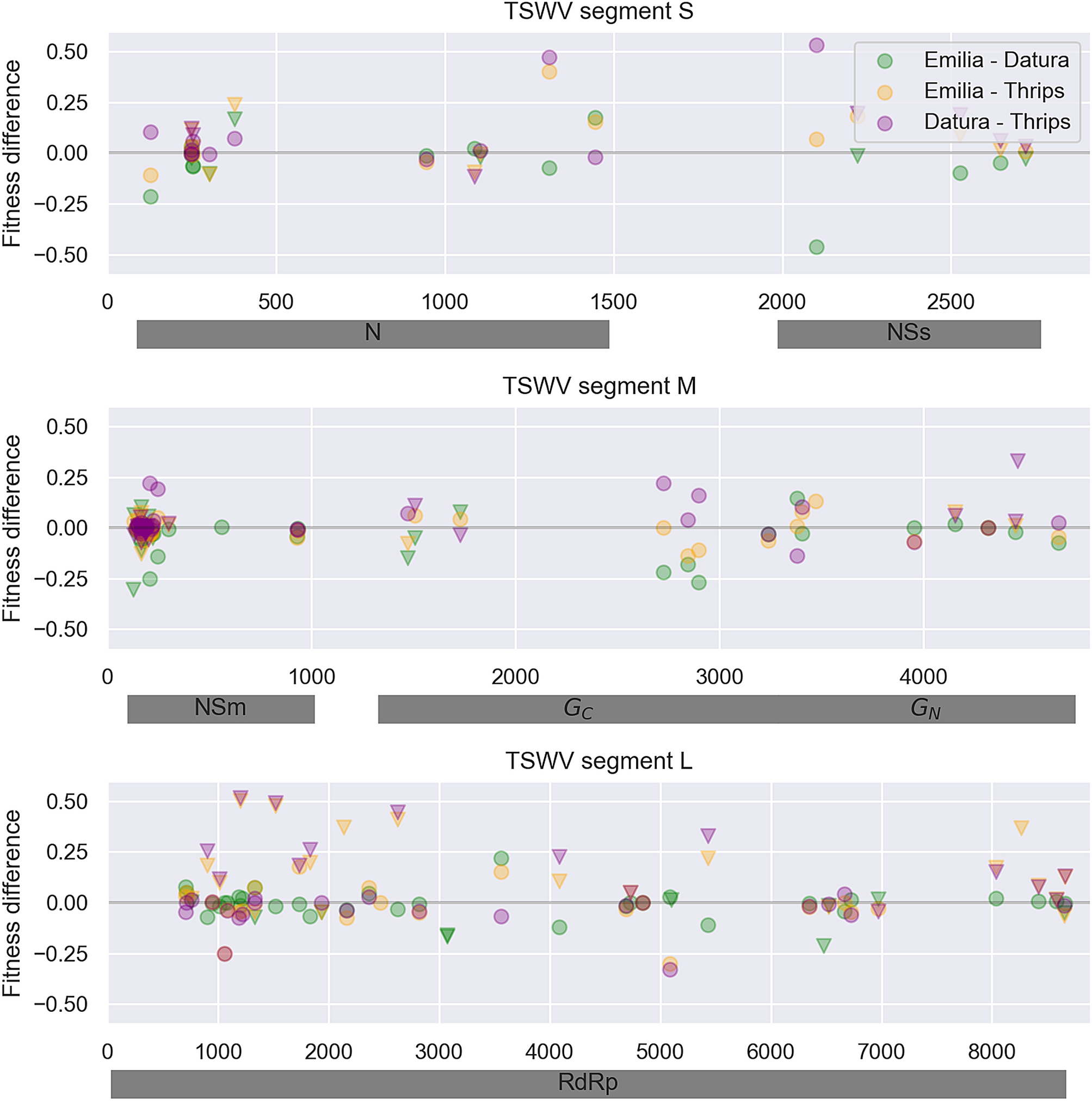
Figure 9

Fitness differences between hosts mapped onto the TSWV genome. Fitness differences between hosts are quantified as the relative growth rate of a variant in the first host minus the growth rate in the second host, such that positive values indicate higher fitness in the first host in each pair. Inverted triangles indicate instances of sign pleiotropy in which the variant had a positive fitness effect in one host and a negative effect in the other host.