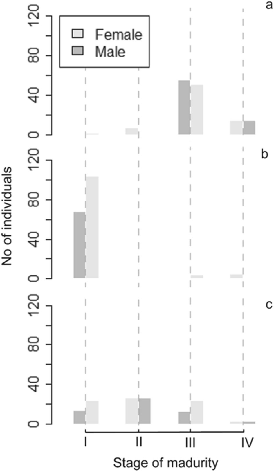
Figure 5

Variation state of maturity for males and females: (a) January to April, (b) May to August, and (c) September to December.

Variation state of maturity for males and females: (a) January to April, (b) May to August, and (c) September to December.