Figure 2
From: Characterization of semi-polar (20\(\overline{2}\)1) InGaN microLEDs

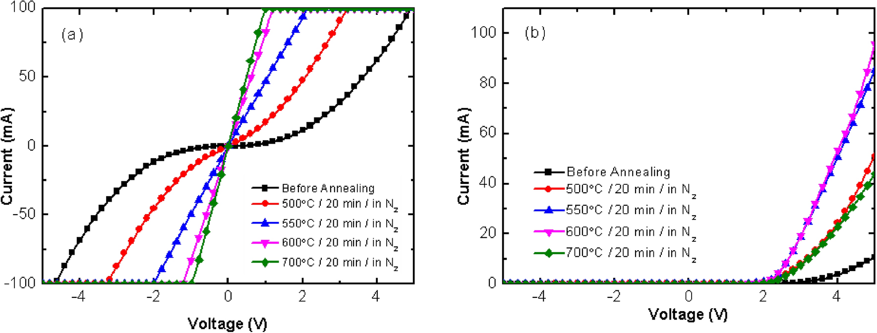
(a) I–V curves present the contact properties between the n-electrode and the n-GaN layer before and after annealing process at different conditions and (b) I–V characteristics of LEDs before and after annealing processes at different conditions.