Figure 2
From: Detection of ferromagnetic resonance from 1 nm-thick Co

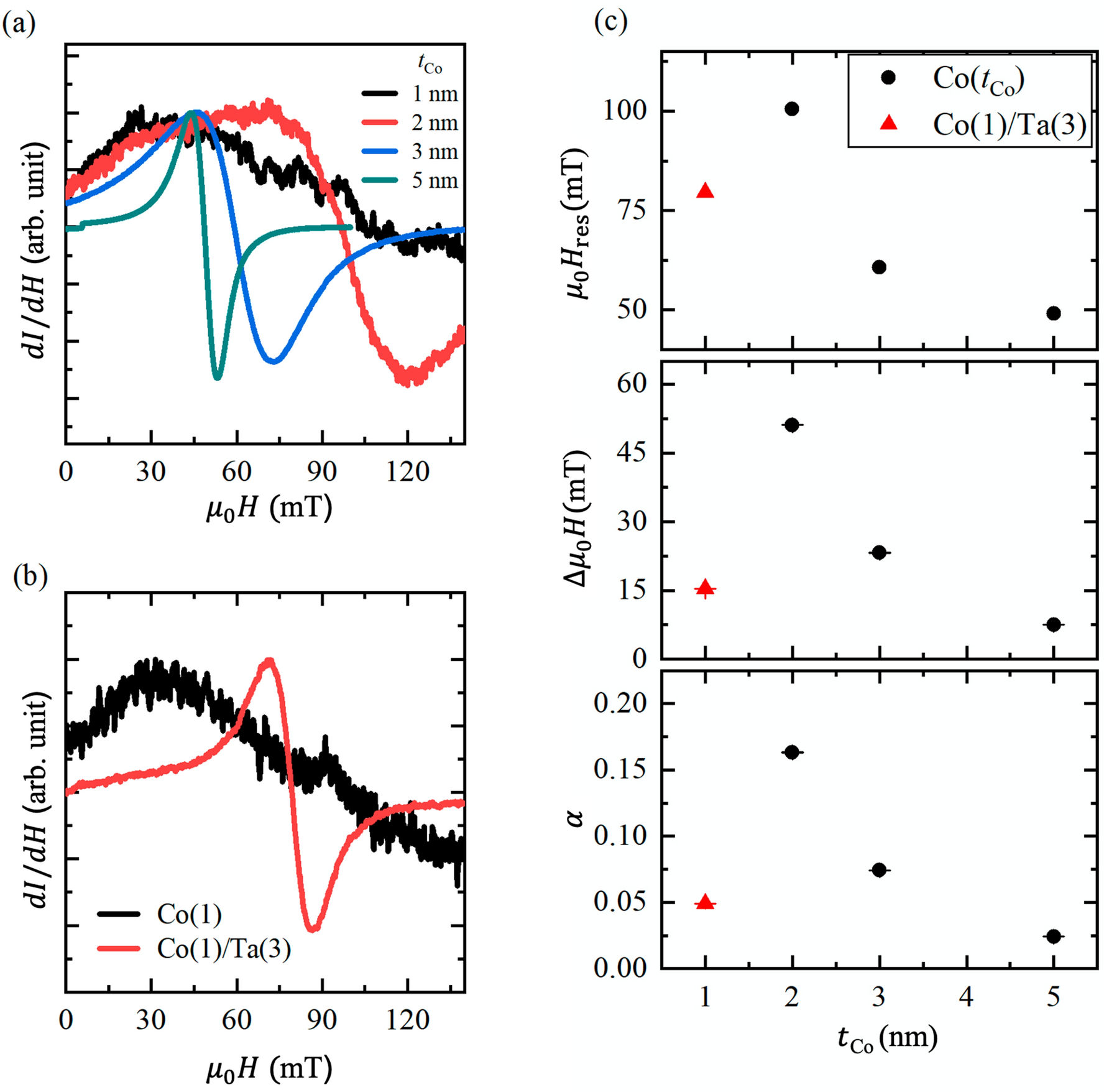
(a) FMR spectra of sample-A Co of 1, 2, 3, and 5 nm in thickness. (b) Comparison of the MR spectra of the Co (1 nm) and Co (1 nm)/Ta (3 nm) samples. (c) The Co thickness dependence of the resonance field μ0Hres (upper panel), the half-width at half-maximum of the FMR spectra ΔH (middle panel), and the Gilbert damping constant α (lower panel).