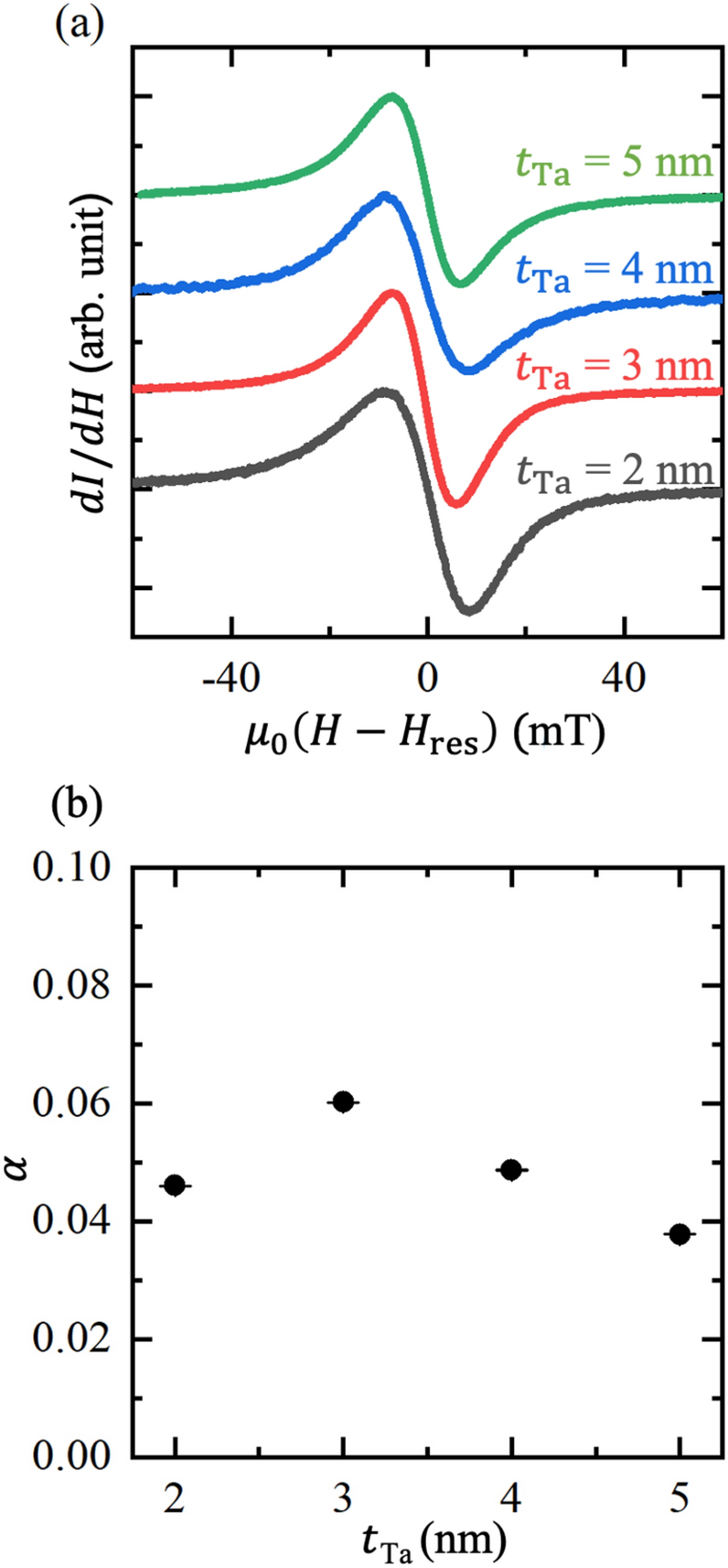
Figure 3
From: Detection of ferromagnetic resonance from 1 nm-thick Co

(a) FMR spectra from the Co (1 nm)/Ta (tTa nm) samples. The thickness of the Ta (tTa) was changed from 2 to 5 nm. (b) The Ta thickness dependence of the Gilbert damping constant α.