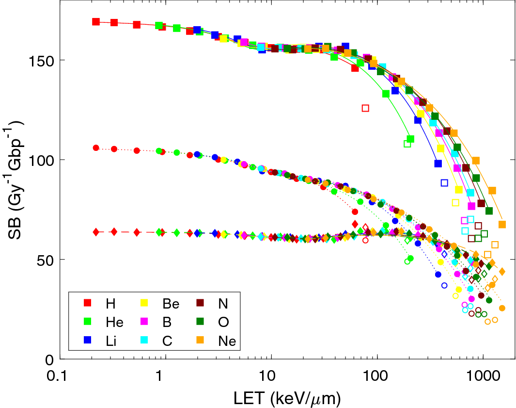
Figure 1

PARTRAC simulations of LET-dependent strand breakage (SB) upon irradiation with light ions. Symbols show the results of track-structure simulations, lines their analytical representation using formula (1) with fit parameters listed in Table 1. Presented is SB induced via direct effects (diamonds, dashed lines), indirect effects (circles, dotted lines) and total yields (squares, solid lines). Simulation results for the lowest energies (empty symbols) were not included in the analytical fits.