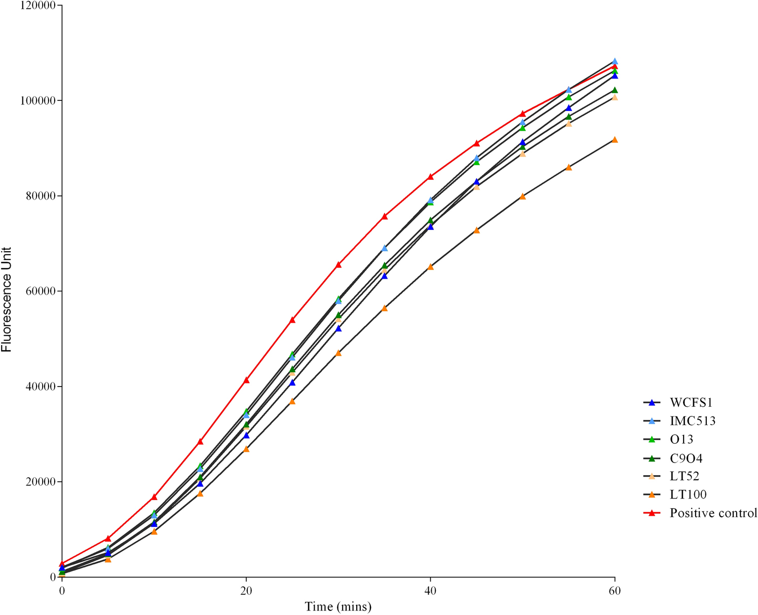
Figure 4

ROS production by inflamed NCM460 cells over time, after pre-treatment with live Lpb. plantarum strains. Data of one representative experiment are reported in the graph.

ROS production by inflamed NCM460 cells over time, after pre-treatment with live Lpb. plantarum strains. Data of one representative experiment are reported in the graph.