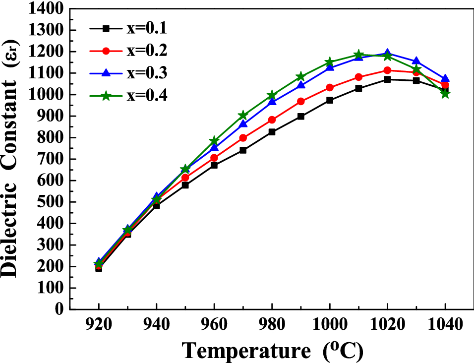
Figure 14

Temperature-dielectric constant curves of the SrBi2(Ta2-xVx)O9 ceramics as a function of V2O5 contents. (a) x = 0.1, (b) x = 0.2, (c) x = 0.3, (d) x = 0.4.

Temperature-dielectric constant curves of the SrBi2(Ta2-xVx)O9 ceramics as a function of V2O5 contents. (a) x = 0.1, (b) x = 0.2, (c) x = 0.3, (d) x = 0.4.