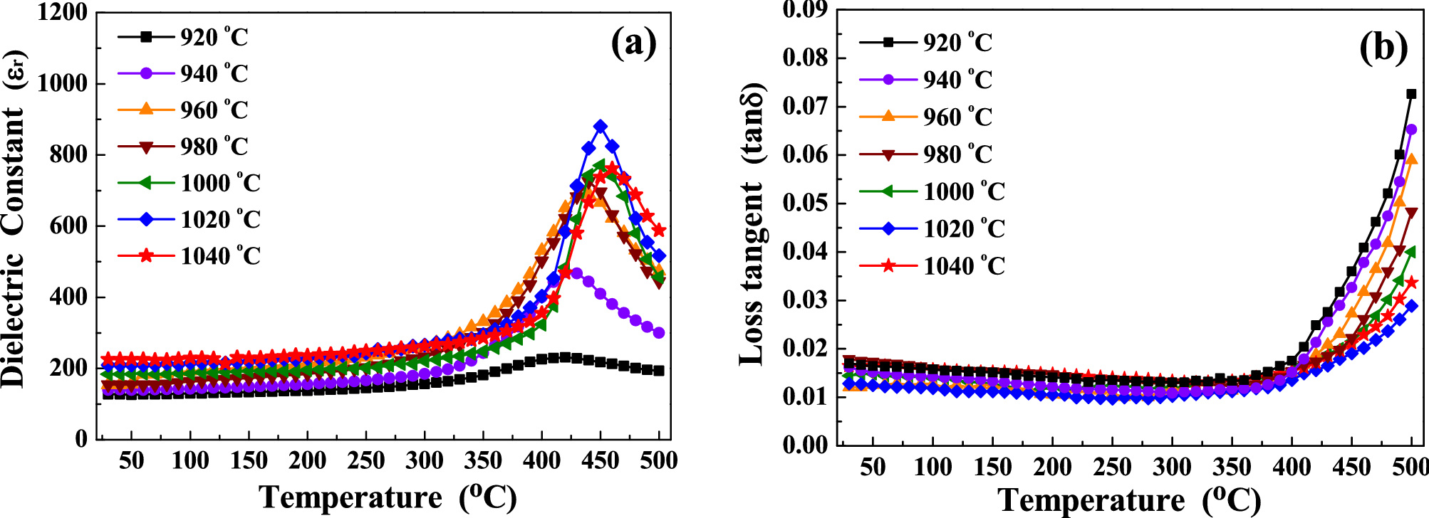
Figure 8

Temperature-dependence of (a) dielectric constants and (b) loss tangent of SrBi2Ta1.9V0.1O9 ceramic as a function of sintering temperature.

Temperature-dependence of (a) dielectric constants and (b) loss tangent of SrBi2Ta1.9V0.1O9 ceramic as a function of sintering temperature.