Figure 9
From: Different conformations of the German shepherd dog breed affect its posture and movement

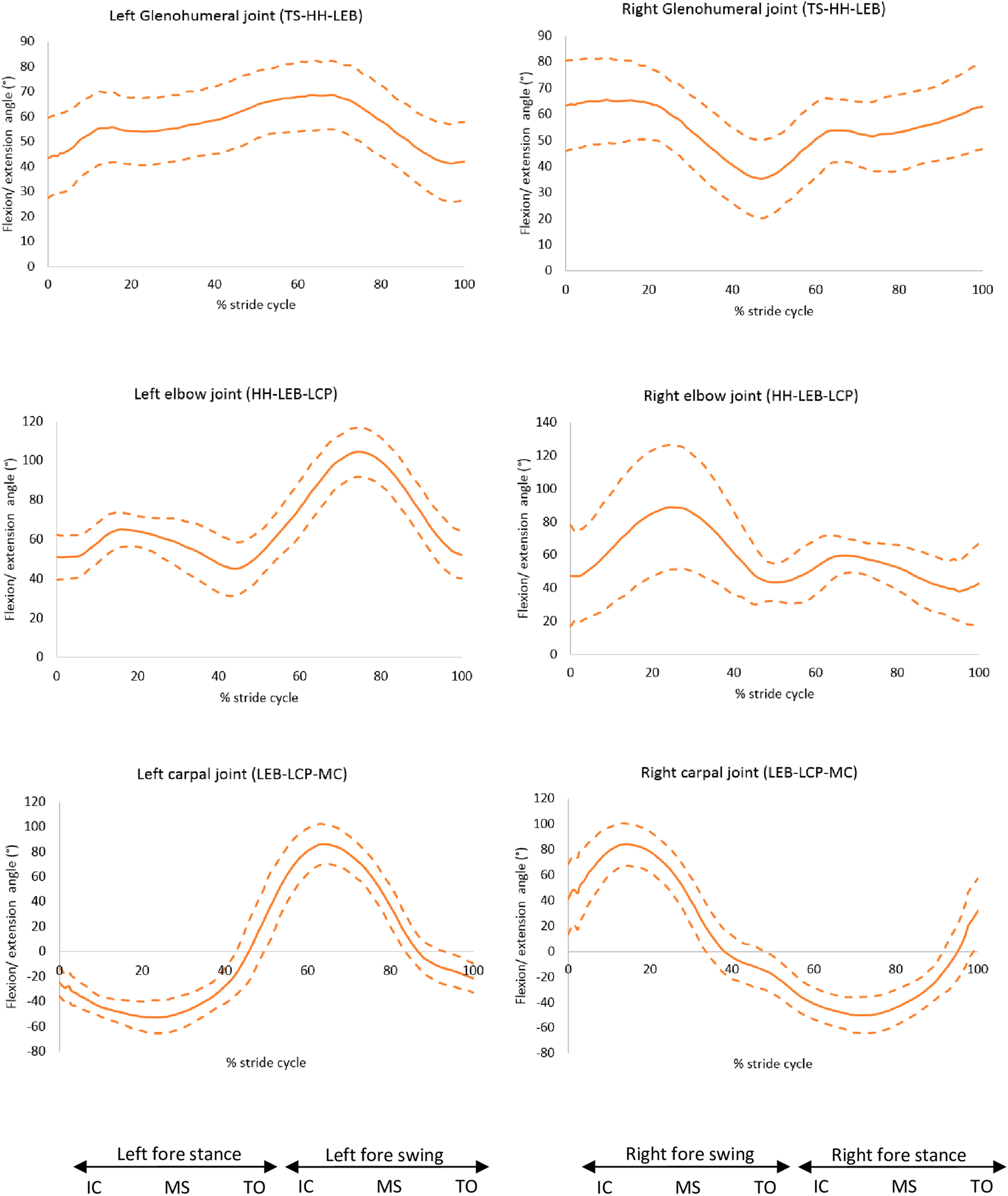
Flexion (positive) and extension (negative) angles for the forelimb joints, mean of 30 GSDs (solid line) and showing one standard deviation from the mean (dashed lines). Graphs are plotted for one stride cycle, showing initial contact (IC), Mid Stance (MS) and Toe Off (TO) for the left and right diagonals. Between brackets: marker names (Supplementary material 3, S3).