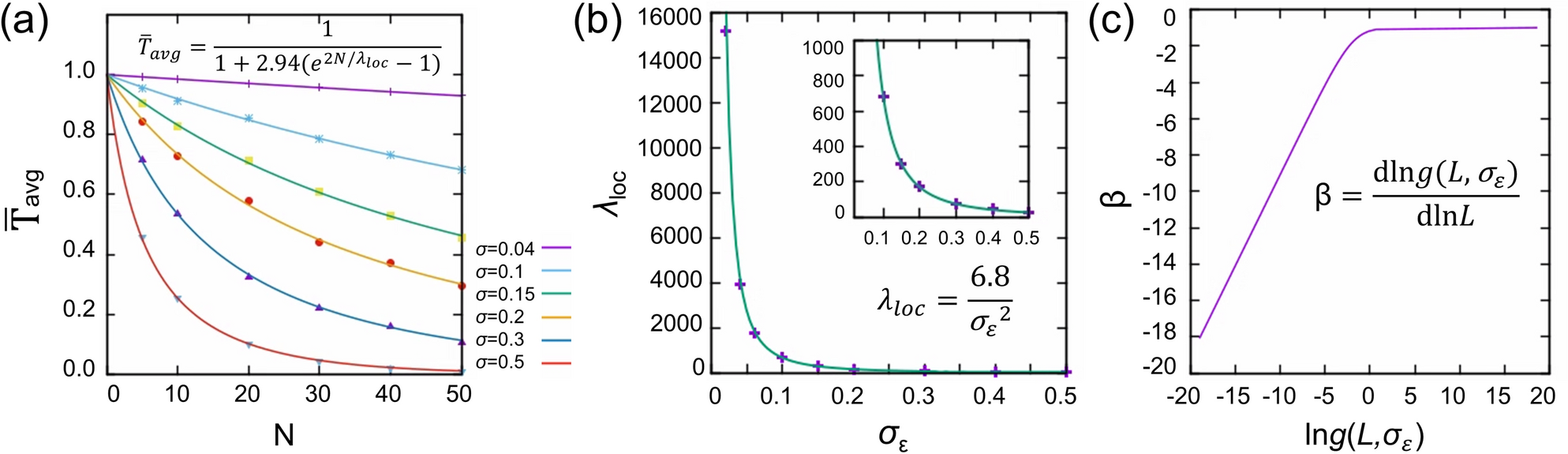
Figure 3

Manifestation of 1D Anderson localization in quantum dot chains with inhomogeneous size distribution. (a) Ensemble-averaged \(\bar{T}\) (marked as points) for each σε follows the same analytical behavior \(\frac{1}{1+\alpha ({e}^{2N/{\lambda }_{loc}}-1)}\) (shown as solid lines) predicted by Anderson et al.19 with a different resistivity constant (i.e., α = 2.94). (b) The localization length is inversely proportional to σε2, which is plotted in the unit of QD size. The inset is the magnified version for a clear view. (c) Asymptotic forms of the scaling function β(g) agree well with the prediction of Abrahams et al.27 for dimension d < 2, where g is the conductivity and L is the system size (i.e., N, in our case)26.