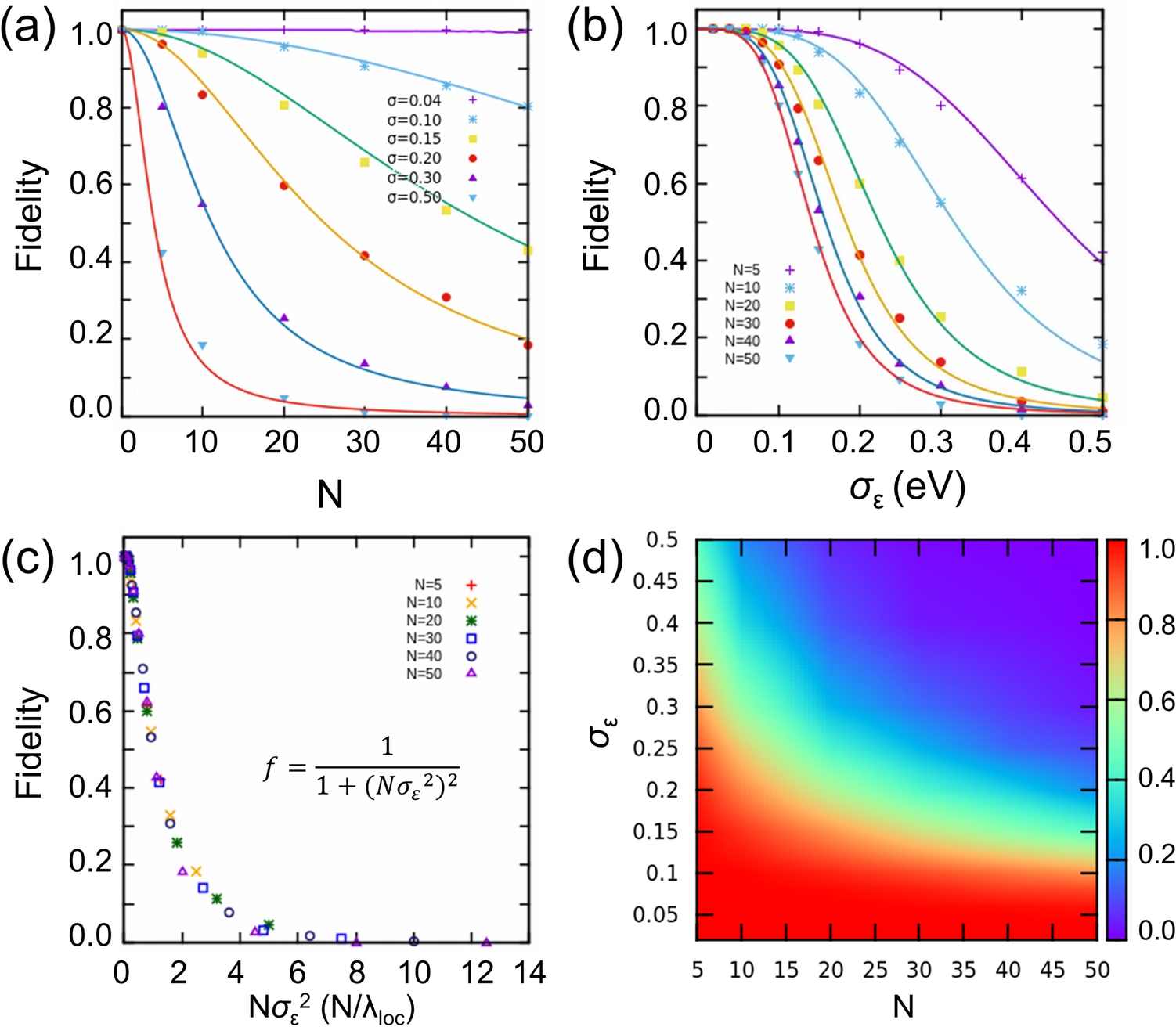
Figure 4

Fidelity of QDCs characterized by (N, σε). (a) Fidelity versus σε and (b) fidelity versus N, which show that the longer the chain, the more susceptible it is to the size variations, and vice versa. The solid lines correspond to the analytical function \(f\left(N,{\sigma }_{\varepsilon }\right)\) shown in (c). (c) Fidelity as a function of Nσε2 (~ N/λloc). Calculated data of various N-QCDs for varying σε fall into the same line. (d) 2D color map of fidelity with varying N (from 5 to 50) and σε (from 0.02 to 0.5)26.