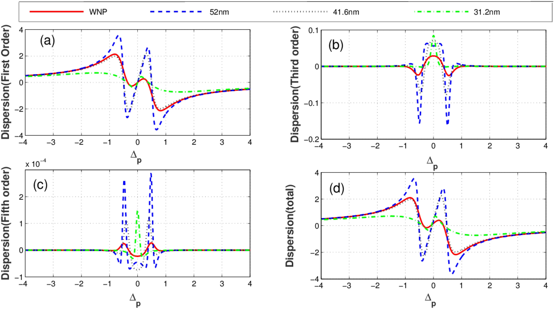
Figure 6

Linear dispersion (a), cross-Kerr nonlinearity (b), fifth-order dispersion (c) and total dispersion (d) plots versus probe detuning for different values of distance between quantum system and plasmonic nanostructure. Solid line corresponds to the case without plasmonic nanostructure, dashed line corresponds to distance R = 52 nm, dotted line corresponds to 41.6 nm and dotted dashed line corresponds to 31.2 nm. Selected parameters are \(\gamma^{\prime} = 0.2\Gamma_{0} ,\,\Delta_{c} = - 25\Gamma_{0}\), and \(\Omega_{c} = 2\Gamma_{0}\). Our calculation is based on MATLA R2014b software. https://www.mathworks.com/.