Figure. 3
From: Serum ammonia is a strong prognostic factor for patients with acute-on-chronic liver failure

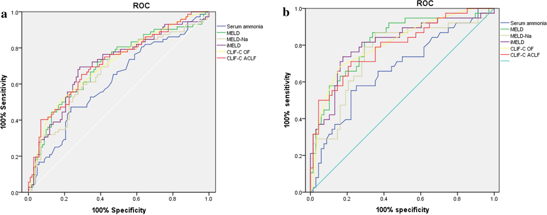
ROC curves of prognostic models in predicting 28-day mortality in ACLF groups (a) and HBV reactivation-induced ACLF groups (b).
From: Serum ammonia is a strong prognostic factor for patients with acute-on-chronic liver failure

ROC curves of prognostic models in predicting 28-day mortality in ACLF groups (a) and HBV reactivation-induced ACLF groups (b).