Figure 3
From: Electronic properties of the Sn1−xPbxO alloy and band alignment of the SnO/PbO system: a DFT study

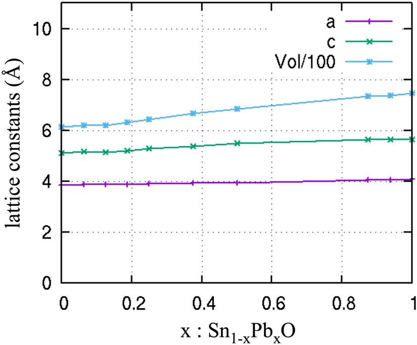
Lattice constants a, c (in Å) and Volume (in Å3, divided by 100) of Sn1−xPbxO vs x.
From: Electronic properties of the Sn1−xPbxO alloy and band alignment of the SnO/PbO system: a DFT study

Lattice constants a, c (in Å) and Volume (in Å3, divided by 100) of Sn1−xPbxO vs x.