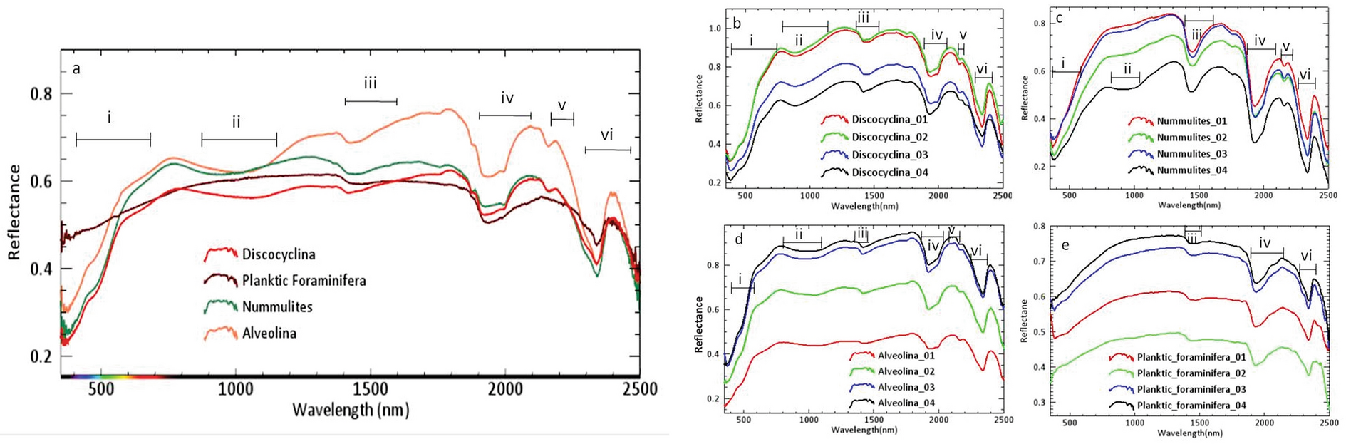
Figure 2

(a) Mean reflectance spectra of planktic and benthic foraminifera considered in this study. (b–e) Reflectance spectra collected from four individuals of each variant of samples of foraminifera. Discocyclina (b), Nummulites (c), Alveolina (d), planktic foraminifera (e) are presented to understand the spectral contrast of intra fossil shells. Bars represent i = Fe impurities/coating electronic transition, ii = Fe impurities/coating-crystal field effect, iii = bonded OH molecule-vibrational feature, iv = free OH-vibrational feature (i.e. presence of water), v = Al–OH-vibrational overtone and vi = CO3-feature. Planktic foraminifera show different spectral features than benthic foraminifera in terms of Fe and Al–OH fields.