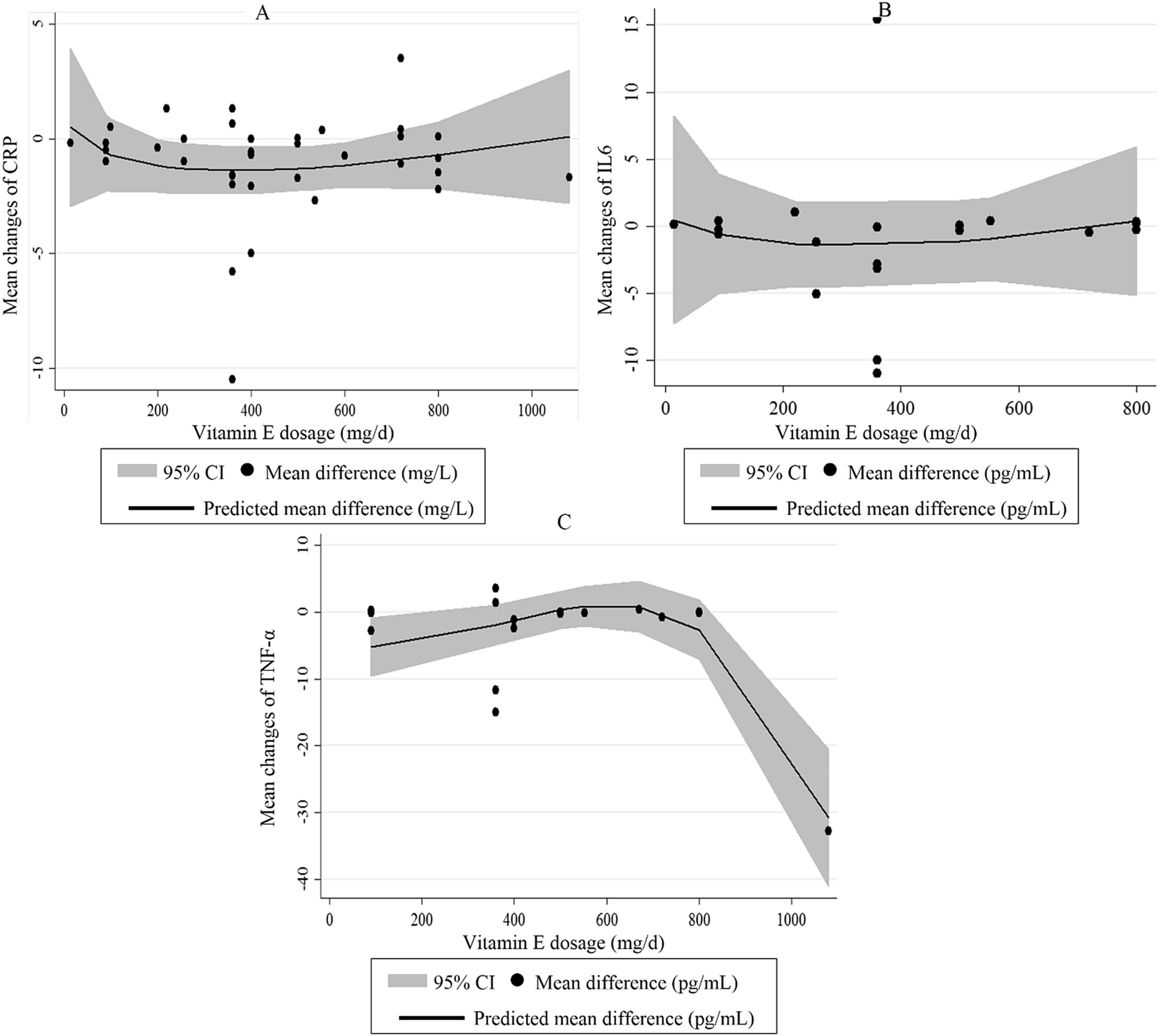
Figure 3

Non-linear dose–response effects of vitamin E dosage (mg/day) on serum concentrations of (A) CRP, (B) IL-6 and (C) TNF-α. The 95% CI is demonstrated in the shaded regions. CRP C-reactive protein, IL-6 interleukin-6, TNF-α tumor necrosis factor-α.