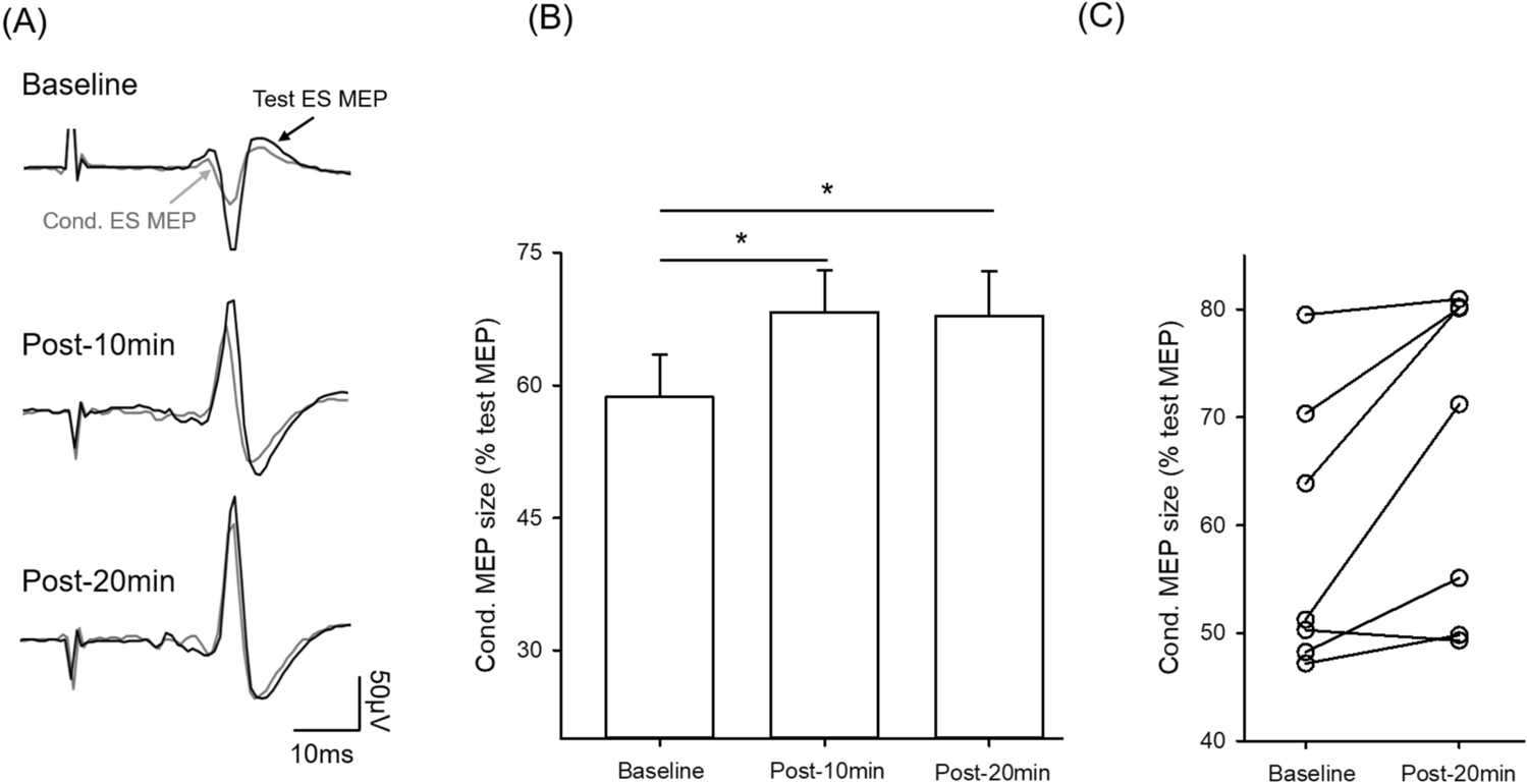
Figure 3

Short-interval intracortical inhibition (SICI) in the erector spinae (ES) muscle. (A) SICI recorded from the ES muscle of a representative participant. Traces show the average of 10 test MEPs (black traces) and conditioned MEPs (Cond. MEP, grey traces) indicated by arrows. (B) Group data showing SICI in the ES muscle (n = 7). The abscissa shows the time points measured (baseline, 10 min and 20 min after 30 min of unilateral arm cycling). The ordinate shows the size of the conditioned MEP expressed as a % of the test MEP). Note that SICI decreased (increased conditioned MEP size) at 10 and 20 min after cessation of the arm cycling. (C) Individual data. Note that majority of participants show decreases in SICI in the ES muscle at 20 min after cessation of the arm cycling compared with baseline. Error bars indicate the standard error of the mean (SEM). *p < 0.05, comparison between post-exercise and baseline.