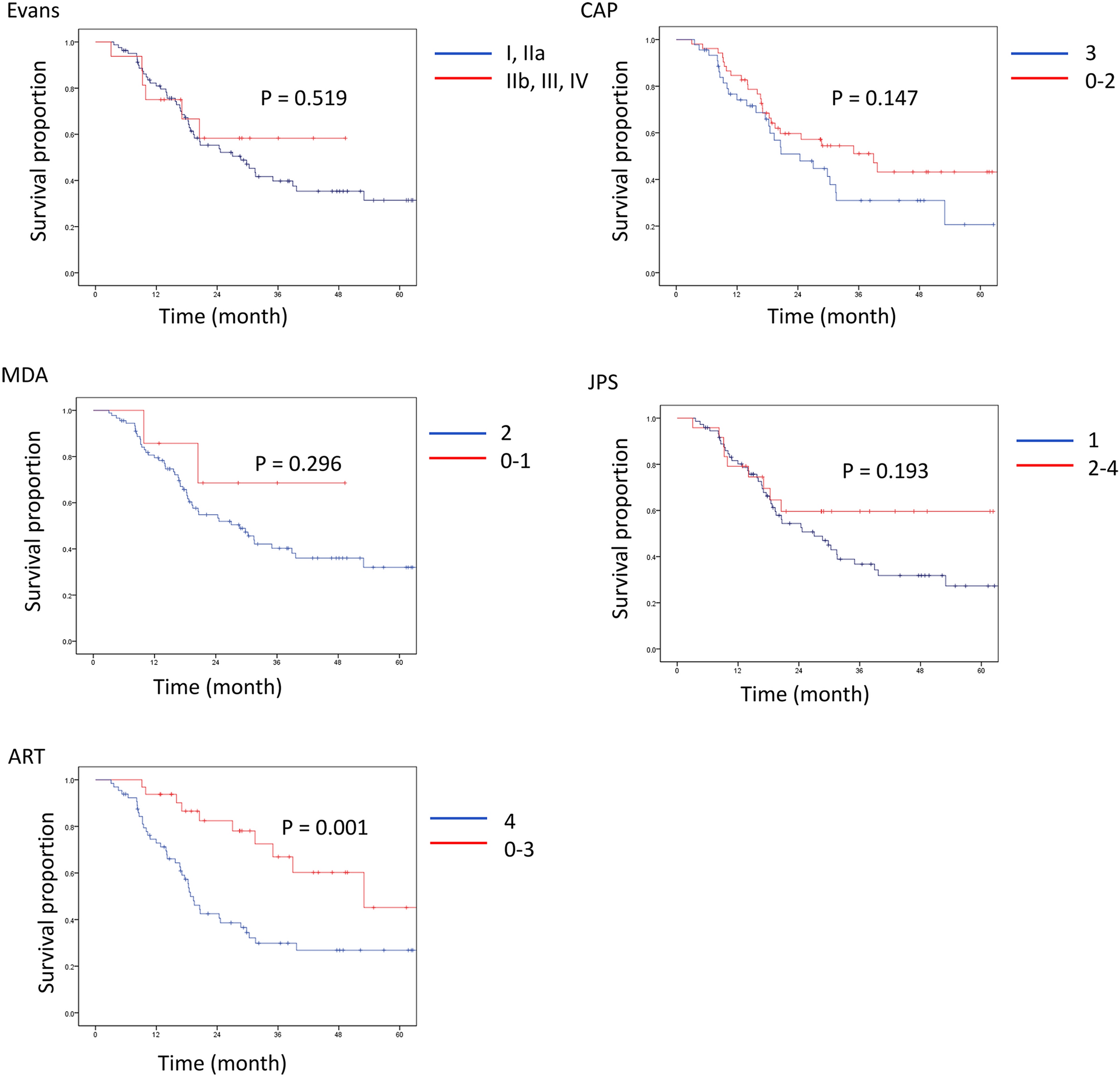
Figure 3

Overall survival after resection stratified by high- vs. low-grade regression. CAP, College of American Pathologists; MDA, the University of Texas M.D. Anderson Cancer Center; JPS, Japan Pancreas Society; ART, Area of Residual Tumor.

Overall survival after resection stratified by high- vs. low-grade regression. CAP, College of American Pathologists; MDA, the University of Texas M.D. Anderson Cancer Center; JPS, Japan Pancreas Society; ART, Area of Residual Tumor.