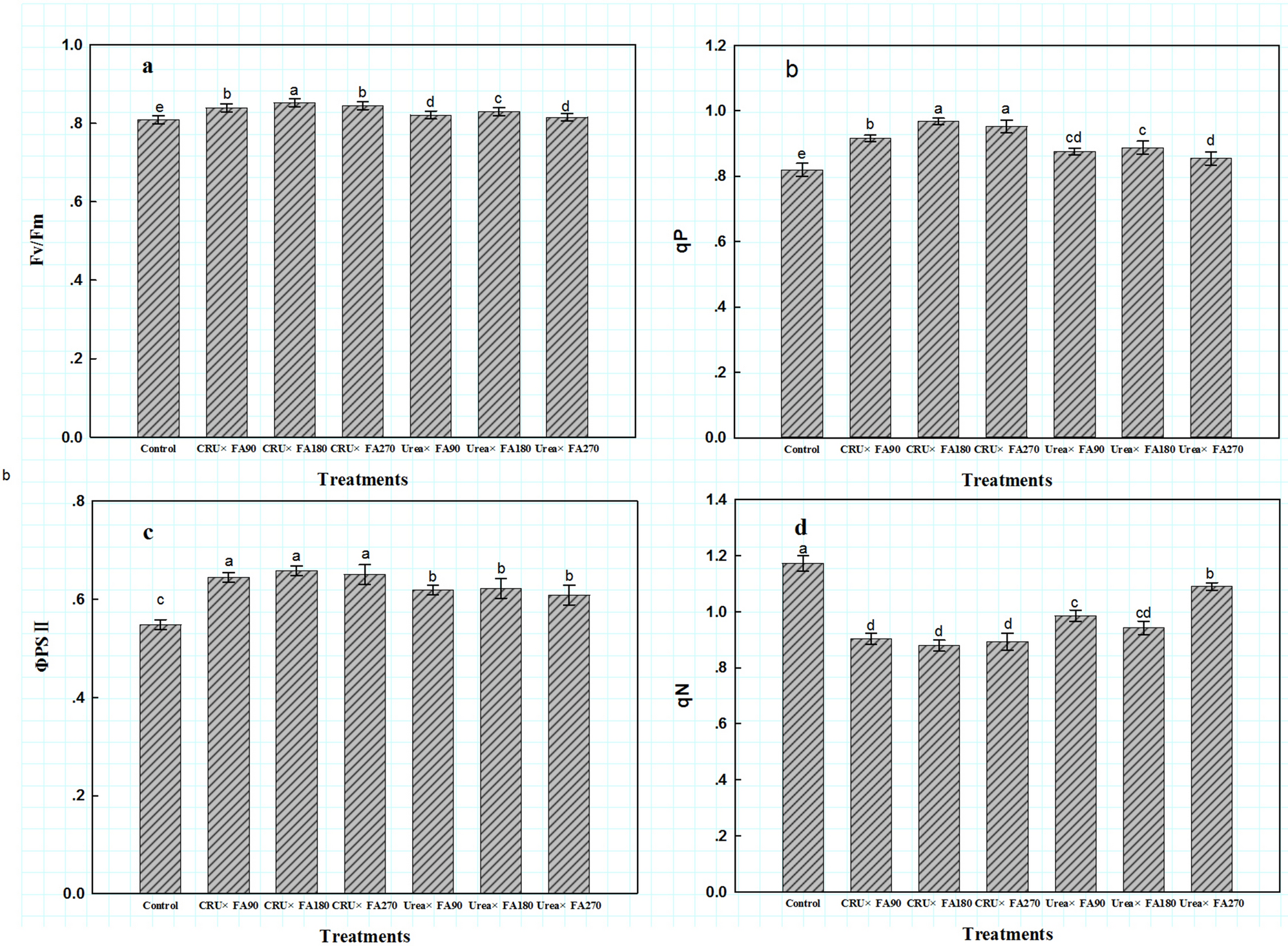
Figure 3

Chlorophyll fluorescence parameters at full boll setting stages. Note: ΦPSII, the effective quantum yield of PSII photochemistry; Fv/Fm, the primary light energy conversion efficiency; qP, photochemical quenching coefficient; qN, non-photochemical quenching coefficient.