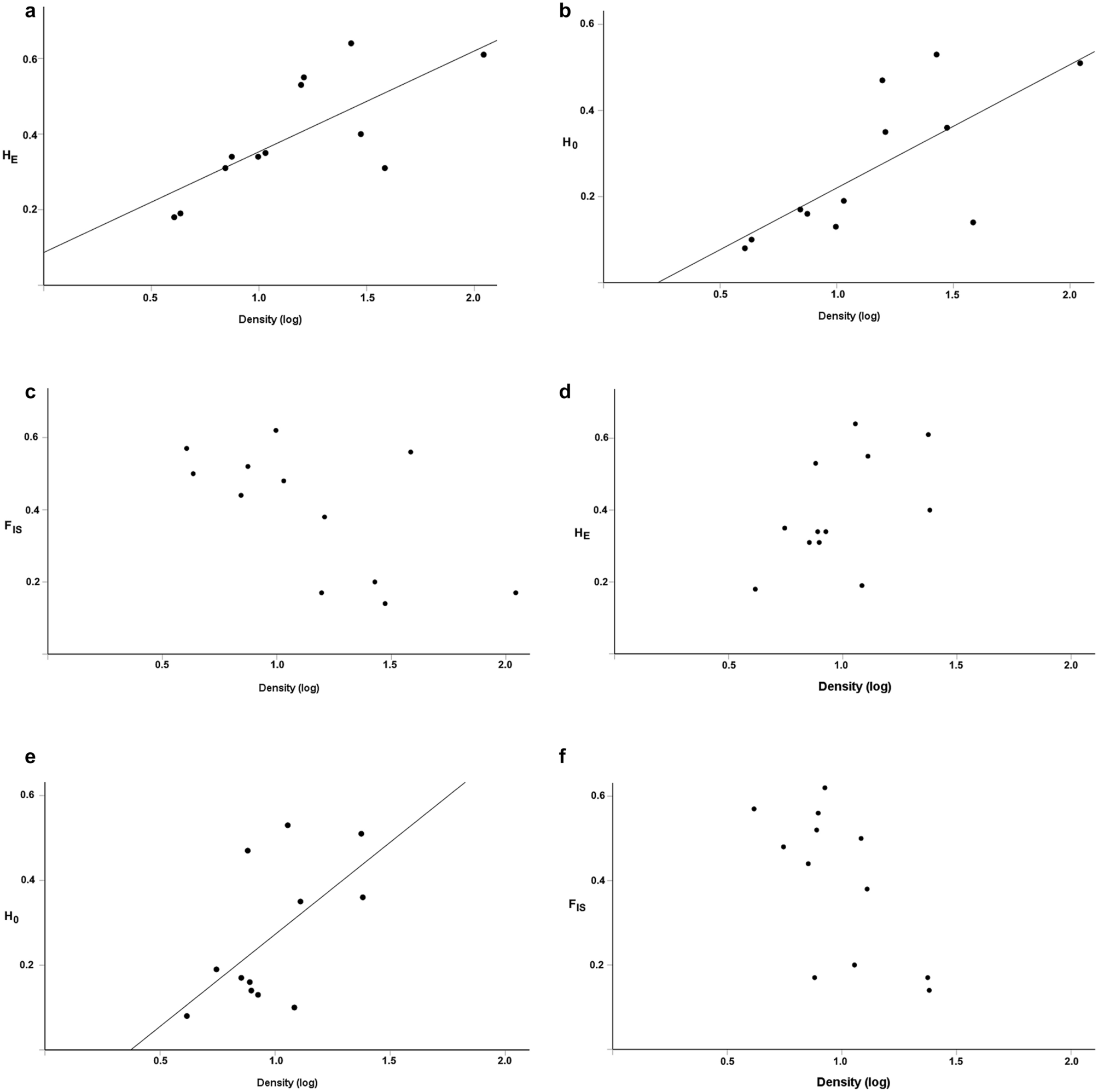
Figure 5

Mean expected heterozygosity (HE), mean observed heterozygosity (HO) and mean inbreeding coefficient (FIS) as a function of abundance of young-of-the-year fish (YOY) (a–c) and of fish older than young-of-the-year (OLD) (d–f) (log individuals 100 m−2), respectively.