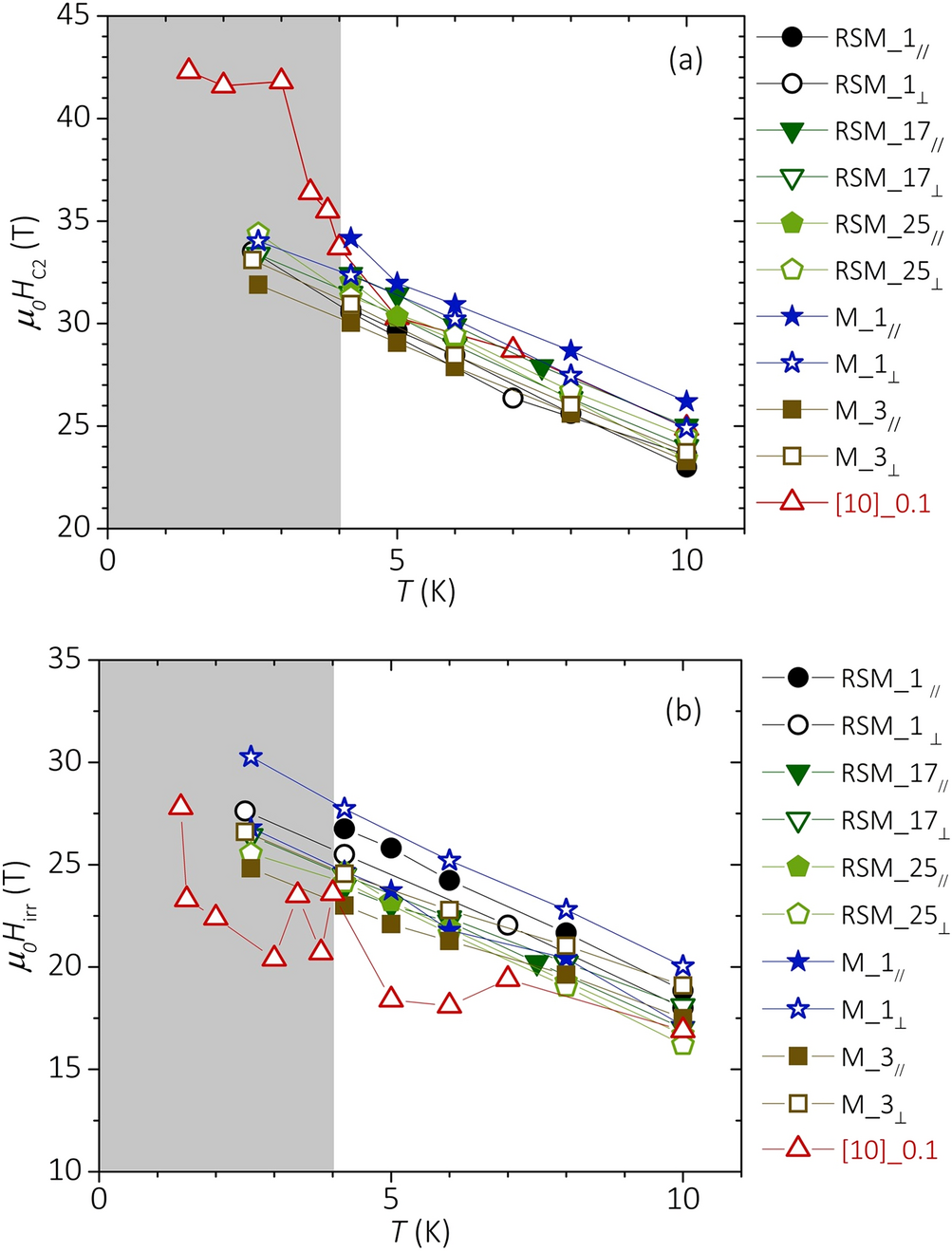
Figure 2
From: High-field superconductivity in C-doped MgB2 bulk samples prepared by a rapid synthesis route

Temperature dependence of the upper critical field (a) and of the irreversibility field (b) for the best-performing samples from this work. Data of the record-high HC2 bulk sample from10 are reported for comparison.