Figure 3
From: Winter movement patterns of a globally endangered avian scavenger in south-western Europe

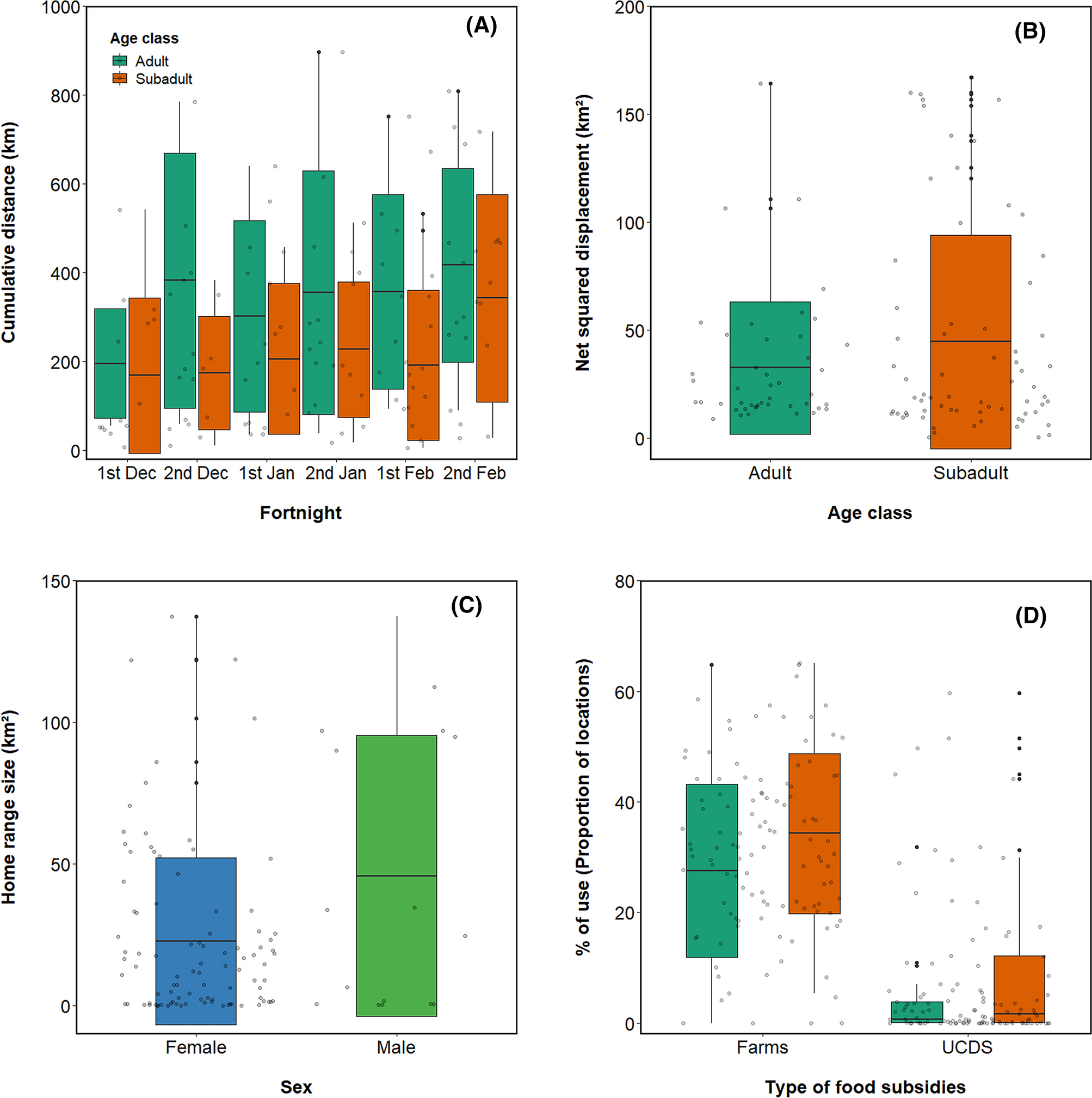
Values of the significant variables included in the full models for cumulative distance, net squared displacement, home range size and use of the different food subsidies of the tagged individuals (n = 12) corresponding to four wintering seasons (2015–2018). White dots represent the raw data points. The standard deviation is shown as error bars.