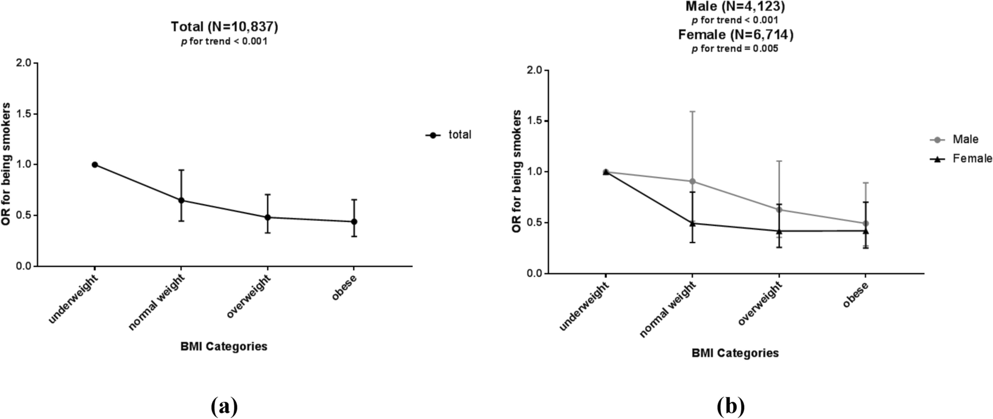
Figure 3

Odds ratios (and 95% CIs) of being current smokers according to BMI categories in (a) total subjects, and (b) males or females, with model adjusted for gender, age, education level, annual income, alcohol units consumed per day, and consumptions of total vegetables, fresh fruits and meats. The figure was created using GraphPad Prism 7.04 (https://www.graphpad.com/).