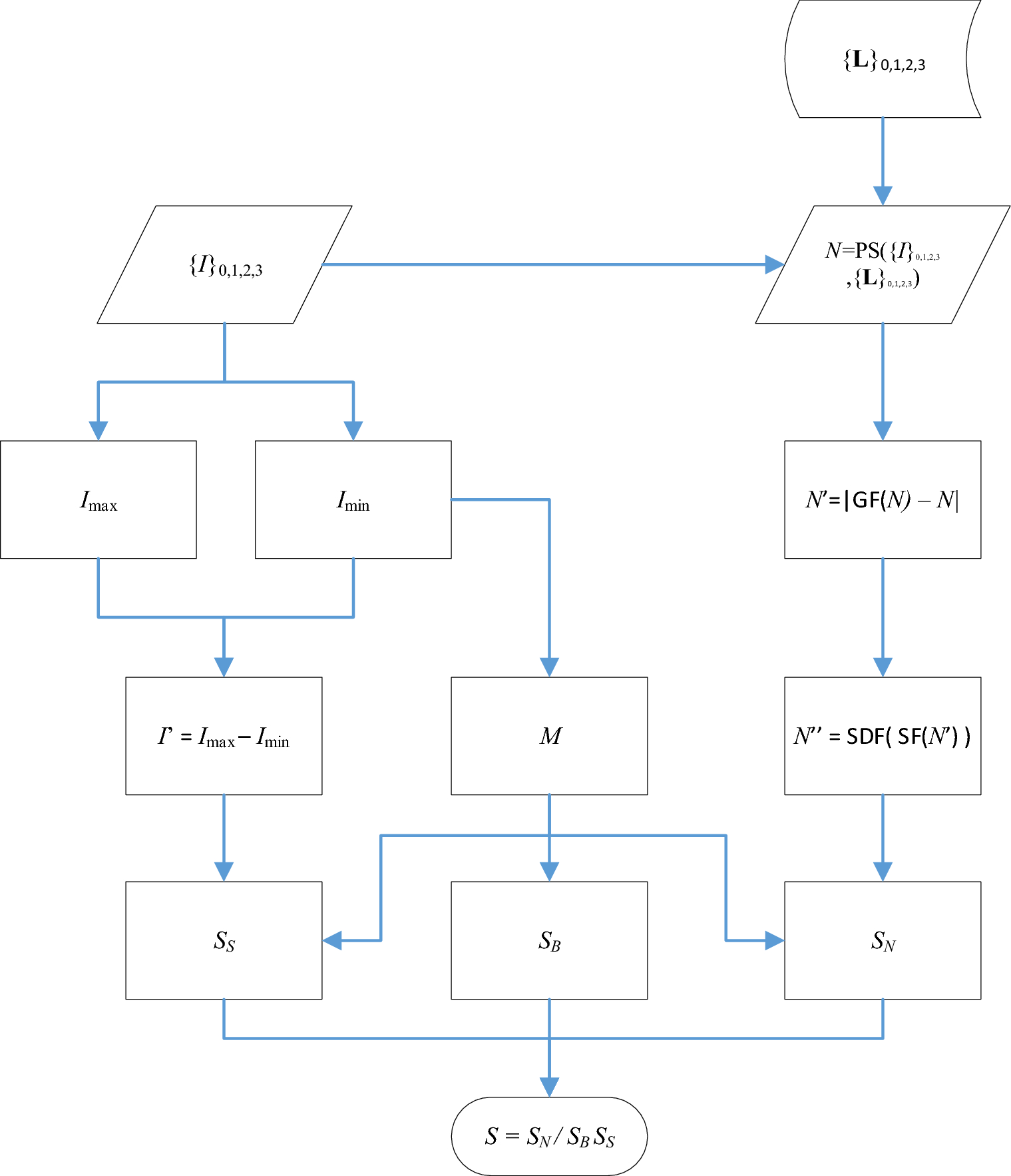
Figure 4
From: A computer vision approach to improving cattle digestive health by the monitoring of faecal samples

Flowchart to demonstrate the structure of the algorithm. For simplicity, this assumes either visible or NIR lights are used, but not both. The various symbols used are defined in the main text of the paper as they are first used.