Figure 3
From: Squeezed-light-driven force detection with an optomechanical cavity in a Mach–Zehnder interferometer

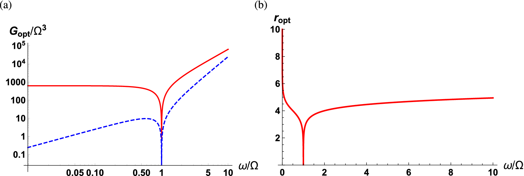
(a) Optimal measurement strength as a function of scaled detection frequency \(\omega /\Omega \) for the case where the output field interferes with a classical LO field (red solid curve) and a MZI reference field (blue dashed curve). (b) Optimized squeezing strength as a function of the scaled detection frequency. The parameters used are \(\kappa /\Omega = 10^2\) and \(\Gamma /\Omega = 10^{-3}\).