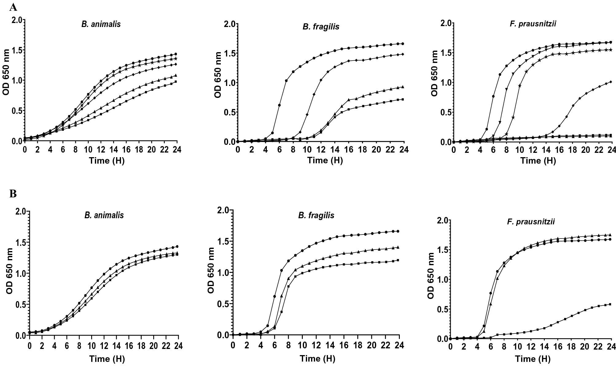
Figure 3
From: Unravelling the antimicrobial action of antidepressants on gut commensal microbes

Growth of some intestinal strains in the presence of (A) Phenelzine and (B) (S)-citalopram. Concentrations (μg/mL) of antidepressants were 0 (circle), 800 (square), 600 (triangle), 400 (diamond), 300 (star), 200 (inverted triangle) and 150 (cross).