Figure 2
From: Serum adipokines as non-invasive biomarkers in Crohn’s disease

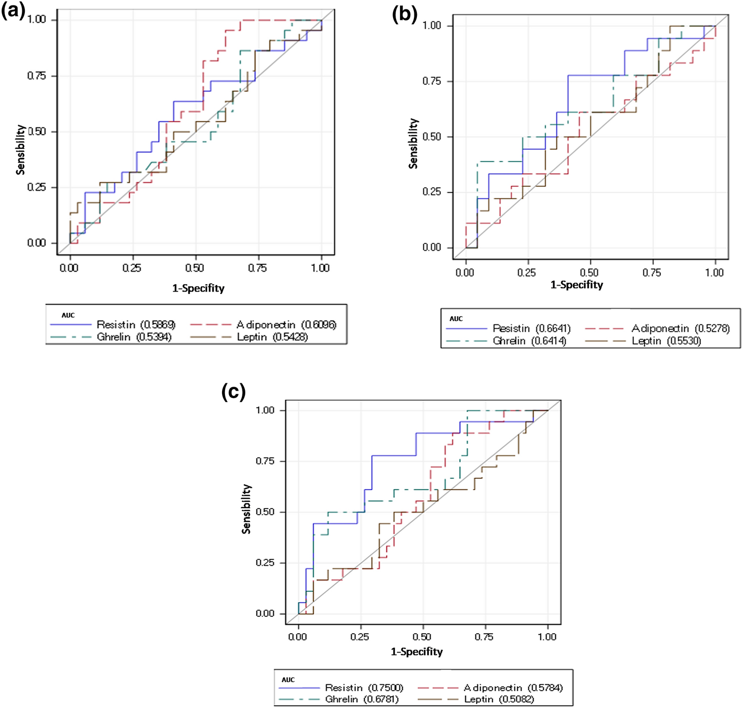
(a) Receiving operating characteristic curves for leptin, ghrelin, adiponectin and resistin comparing patients with quiescent Crohn’s disease (qCD) and healthy controls (HC). (b) Receiving operating characteristic curves for leptin, ghrelin, adiponectin and resistin comparing patients with quiescent Crohn’s disease (qCD) and active Crohn’s disease (aCD). (c) Receiving operating characteristic curves for leptin, ghrelin, adiponectin and resistin comparing patients with active Crohn’s disease (aCD) and healthy controls (HC).