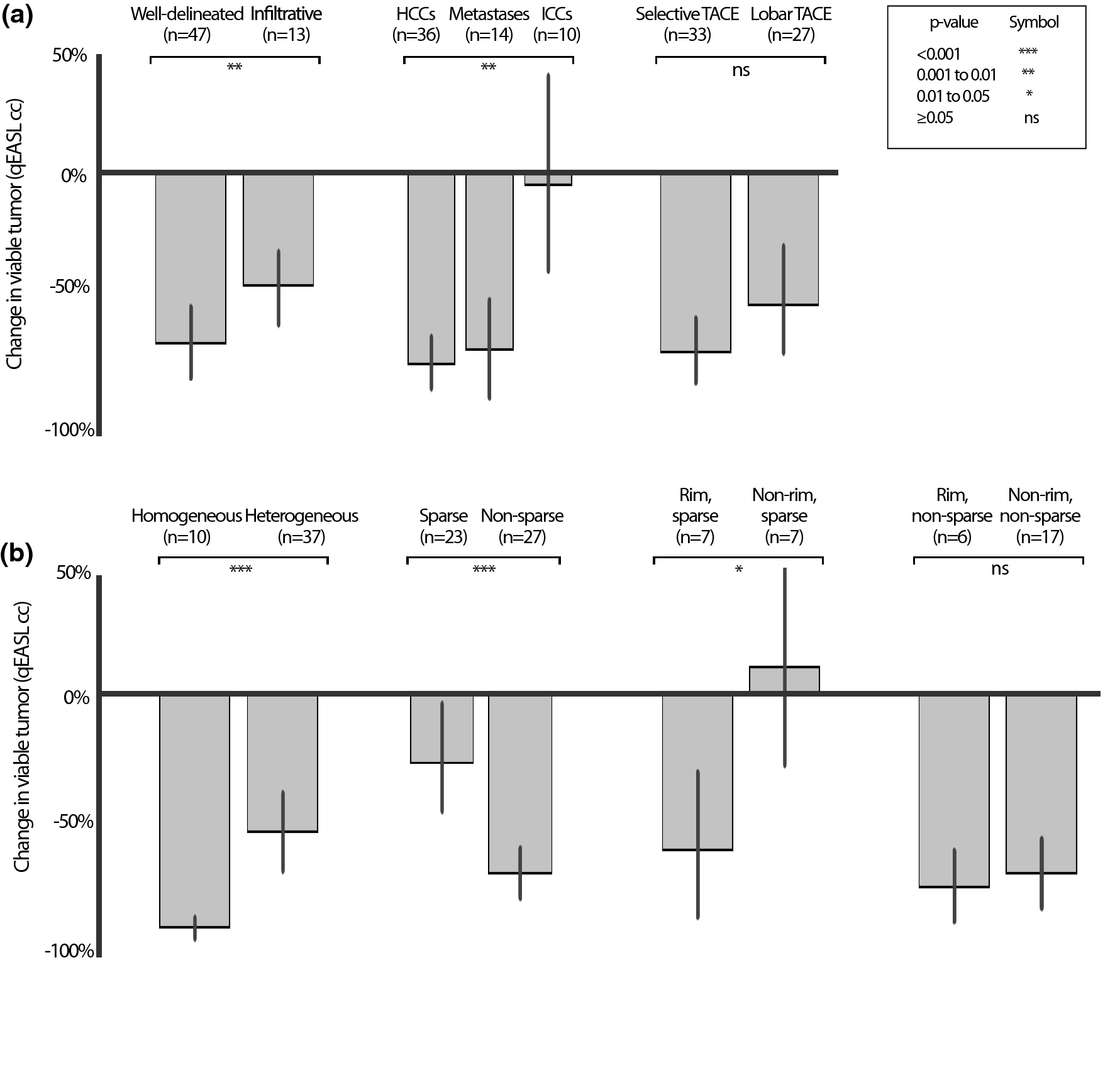
Figure 5

Percent change in viable tumor baseline MRI and follow up MRI. Reduction in viable tumor tissue between baseline MRI and follow-up MRI [%], compared between (a) tumor subgroups based on tumor growth (well-delineated vs. infiltrative), tumor entity (HCC vs. Metastases vs. ICC) and TACE approach (selective vs. lobar), as well as (b) patterns of Lipiodol deposition, where the comparisons with homogeneous or rim patterns were restricted to well-delineated tumors. Lesions were only included in the analysis if they had enhancing tumor tissue on baseline MRI. qEASL = quantitative European Association for the Study of the Liver (tumor response criteria).