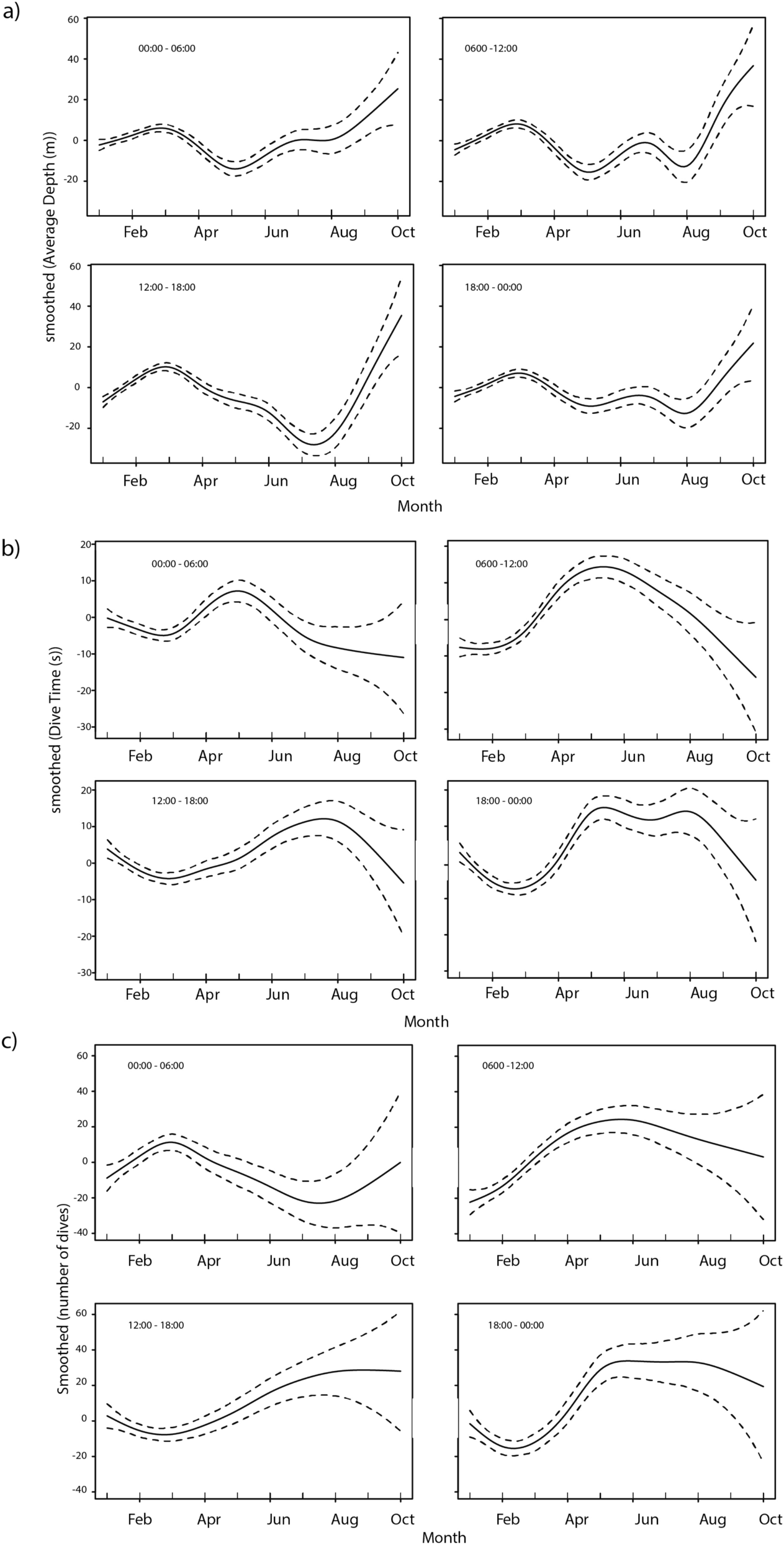
Figure 3

Smoothed responses from Generalised Additive Mixed Models of the (A) average dive depths, (B) dive time and (C) number of dives within 6 h time periods (00:00–06:00, 06:00–12:00, 12:00–18:00, 18:00–00:00) each day across all individuals. There was a consistent trend of increased average dive depth and dive time between April and August and a concomitant decrease in the number of dives between 0000 and 06:00.