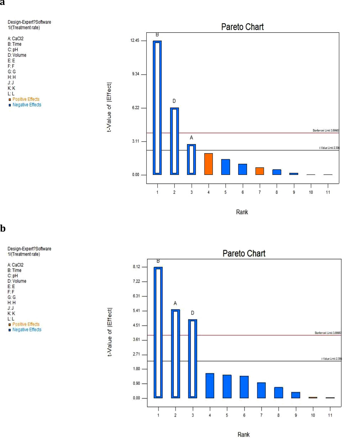
Figure. 8

The pareto chart of strain A (a) and strain B (b). Blue square indicates that factor level is positively correlated with the response value, while orange square indicates that factor level is negatively correlated with the response value.

The pareto chart of strain A (a) and strain B (b). Blue square indicates that factor level is positively correlated with the response value, while orange square indicates that factor level is negatively correlated with the response value.