Figure 3
From: Role of spin-glass behavior in the formation of exotic magnetic states in GdB6

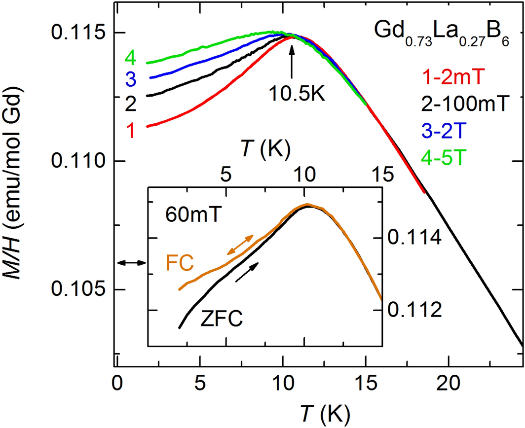
Magnetic susceptibility of Gd0.73La0.27B6 at different fields (inset: FC and ZFC susceptibility).
From: Role of spin-glass behavior in the formation of exotic magnetic states in GdB6

Magnetic susceptibility of Gd0.73La0.27B6 at different fields (inset: FC and ZFC susceptibility).