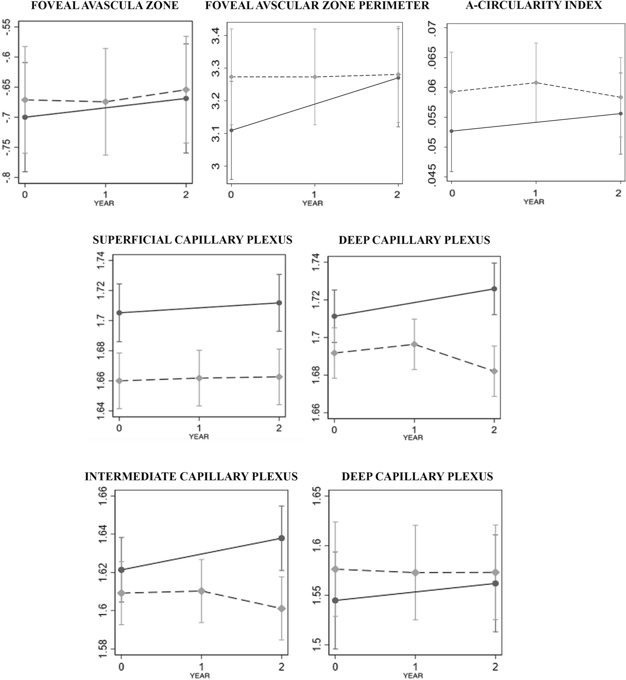
Figure 2

Baseline and follow-up data of each optical coherence tomography angiography OCTA parameter. Changes in the foveal avascular zone and parafoveal vessel density parameters in the superficial and deep capillary plexus, including also the intermediate capillary plexus, over time using optical coherence tomography angiography for diabetic patients (dashed line) and controls (continuous line) graphed continuously (middle line). The bottom line shows the different results when the intermediate and deep capillary plexus are analyzed separately.