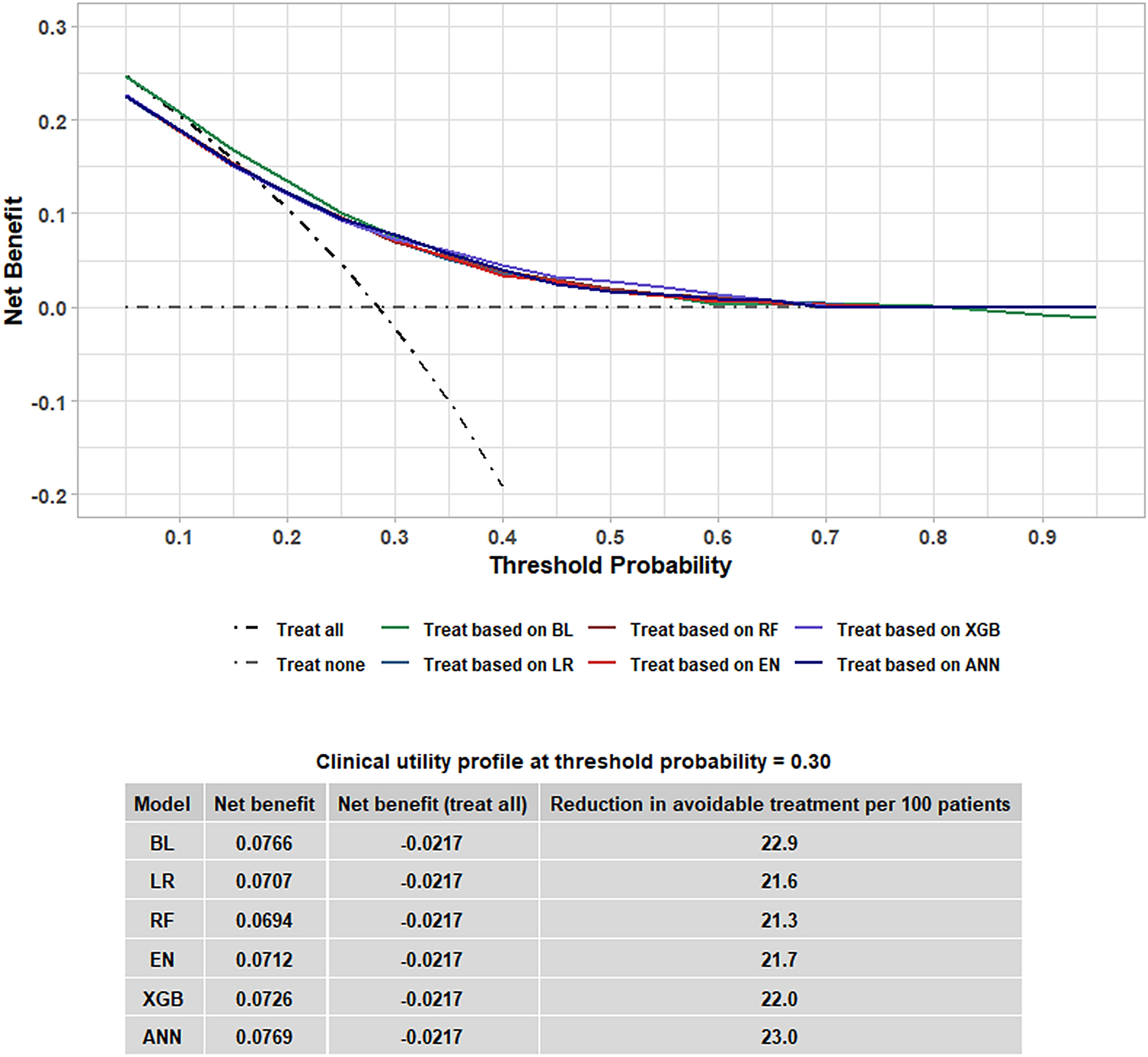
Figure 4

Decision curves of the recalibrated models. Net benefits for threshold probabilities of 0 through 1 with a 0.05 increment are shown for the baseline and recalibrated models. The table shows an example case where a threshold probability of 0.30 is chosen. Reduction in avoidable treatment using each treatment strategy is based on comparison with the “treat all” strategy. LR logistic regression, EN elastic net, RF random forest, XGB extreme gradient boosting, ANN artificial neural network.