Figure 2
From: Thermal bosons in 3d optical lattices via tensor networks

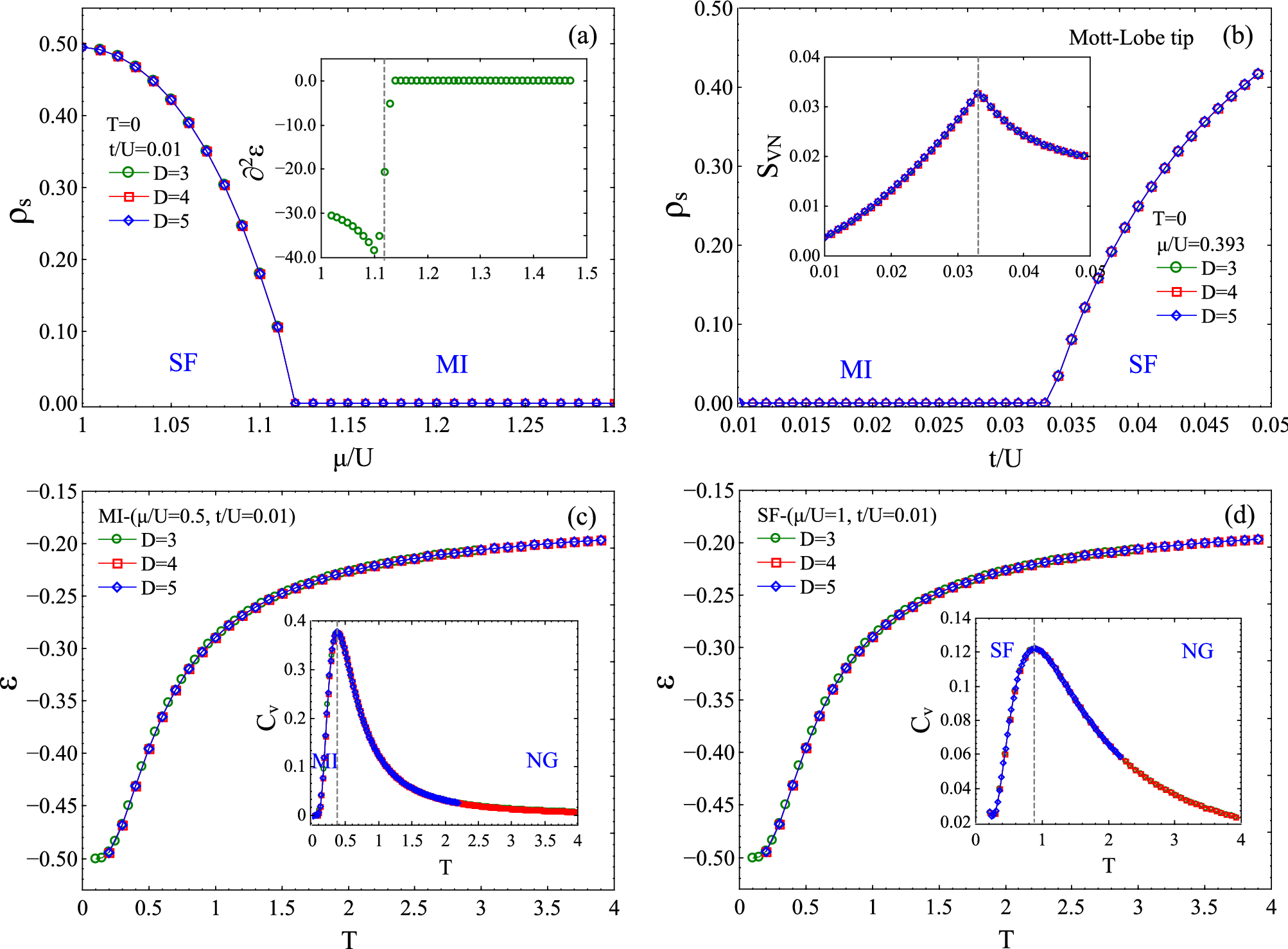
(Color online) TN results for the soft-core (\(n=2\)) BH model on the 3d cubic lattice. (a) Superfluid density, \(\rho _s\), for \(t/U=0.01\) and \(T=0\). \(\rho _s\) is finite in the superfluid (SF) phase and vanishes in the Mott-insulating (MI) phase. The inset shows the second derivative of the ground-state energy per-site, \(\varepsilon _0\), revealing the 2nd-order nature of the SF-MI quantum phase transition at \(T=0\). (b) The \(\rho _s\) at the tip of the first Mott lobe at \(\mu /U=0.393\), and also at \(T=0\). The inset shows the Von-Neumann entropy for bipartition of the lattice on a link (obtained from singular values of \(\lambda \) bond environment matrices) signalling the transition at \((t/U)^c=0.0331\). (c) Energy per site \(\varepsilon \) as a function of T in the MI phase. Specific heat \(C_v\) is shown in the inset. (d) Energy per site \(\varepsilon \) as a function of T in the SF phase. Specific heat \(C_v\) is shown in the inset.