Figure 5
From: Transcapillary transport of water, small solutes and proteins during hemodialysis

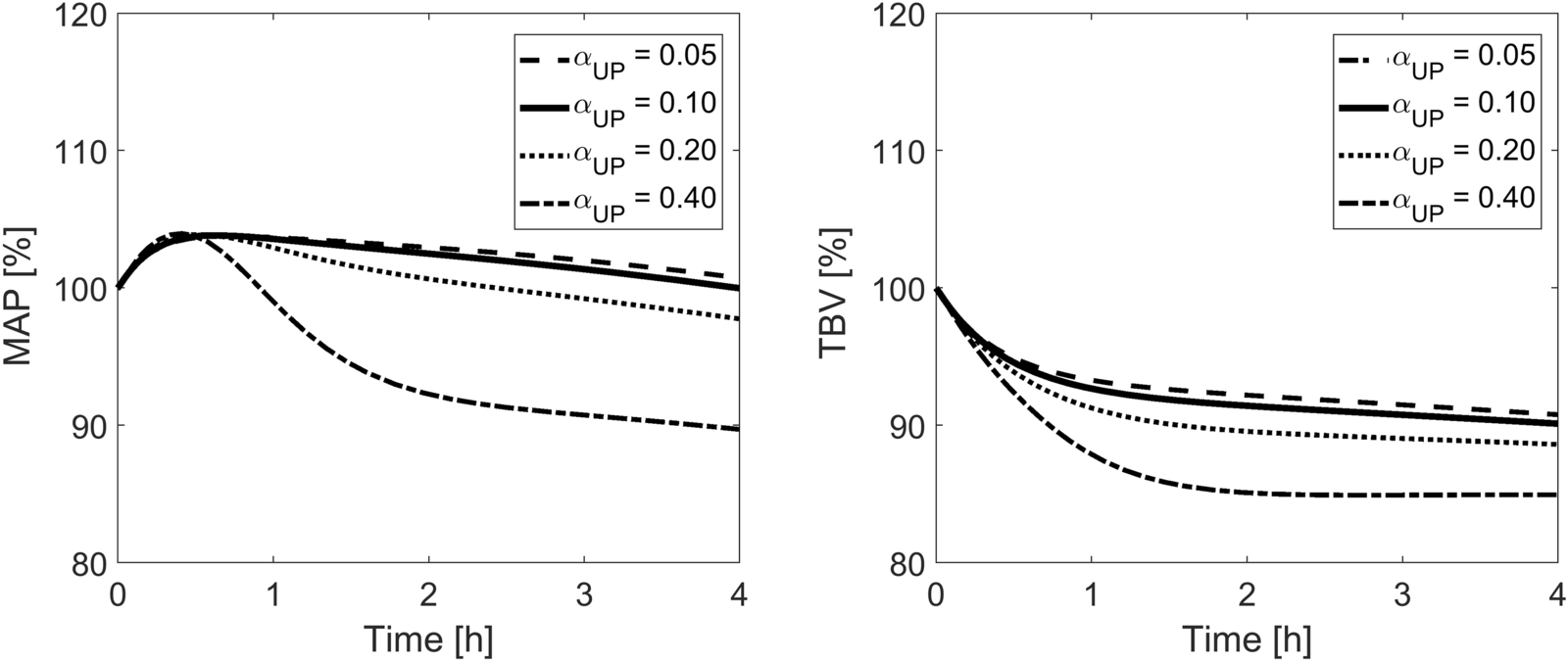
Model-simulated relative changes of mean arterial blood pressure (MAP) and total blood volume (TBV) during hemodialysis for different fractions of the capillary hydraulic conductivity attributed to ultrasmall pores (αUP) with the fraction attributed to large pores kept unchanged at the basal value of 0.05.