Figure 6
From: Transcapillary transport of water, small solutes and proteins during hemodialysis

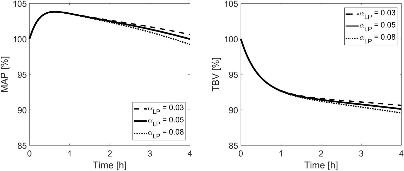
Model-simulated relative changes of mean arterial blood pressure (MAP) and total blood volume (TBV) during hemodialysis for different fractions of the capillary hydraulic conductivity attributed to large pores (αLP) with the fraction attributed to ultrasmall pores kept unchanged at the basal value of 0.10.