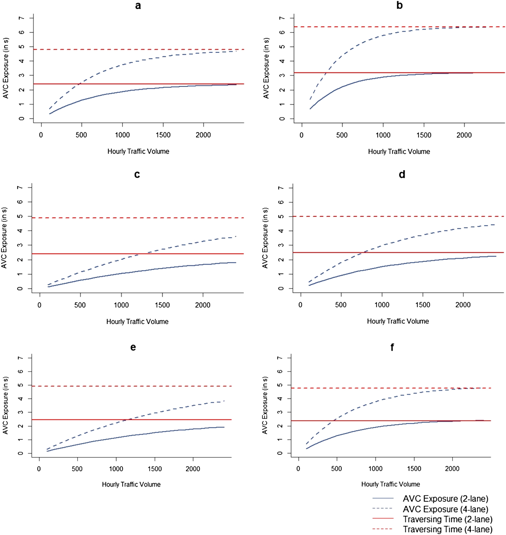
Figure 5

AVC exposure (blue curves; in seconds) of (a) chital, (b) gaur, (c) leopard, (d) sambar, (e) tiger, and (f) wild pig, a function of the duration of time an animal needs to traverse different widths of roads (red lines) and the Animal Vehicle Collision (AVC) probability under the hourly traffic volume at that time. Figure created using R45 version 3.6 (https://www.rstudio.com/).