Figure 2
From: Electronic health record alerts enhance mass screening for chronic hepatitis B

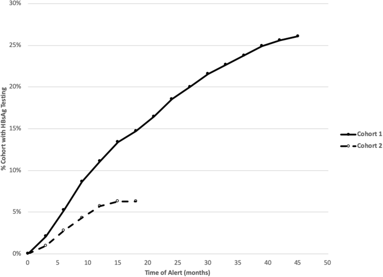
HBsAg completion among API in the alert and control groups. The figure shows percentage of HBsAg completion in each cohort related to time after randomization to alert or control.