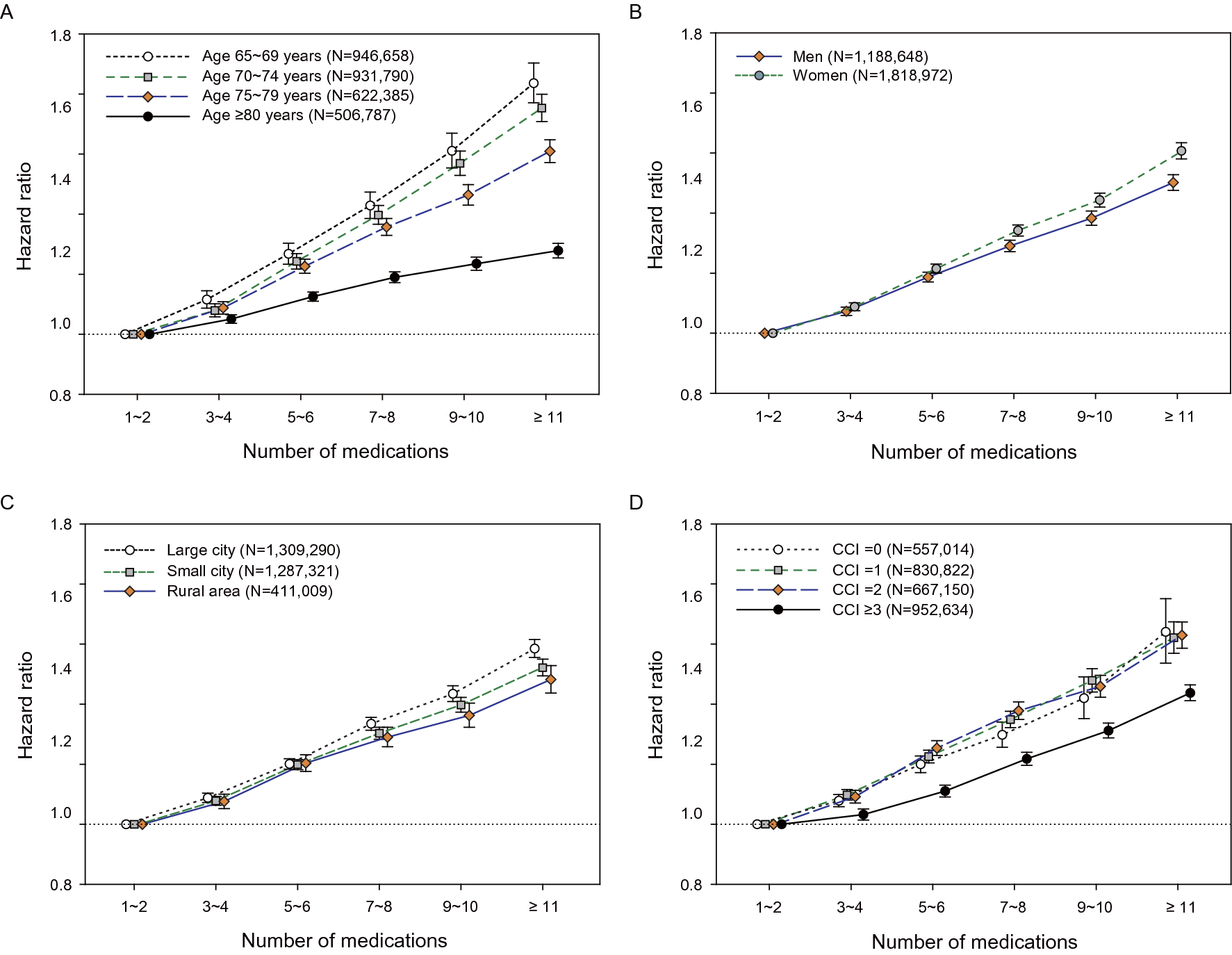
Figure 3
From: Polypharmacy, hospitalization, and mortality risk: a nationwide cohort study

Subgroup analyses of the association between the number of daily prescribed medications and the risk of all-cause mortality. Subgroup analyses were performed and stratified by (A) age (65–69, 70–74, 75–80, and ≥ 80 years), (B) sex (men and women), (C) residential area (large city, small city, and rural area), and (D) comorbidity burden (CCI scores: 0, 1, 2, and ≥ 3). All models were adjusted for age, sex, residential area, and CCI score. CCI Charlson comorbidity index.