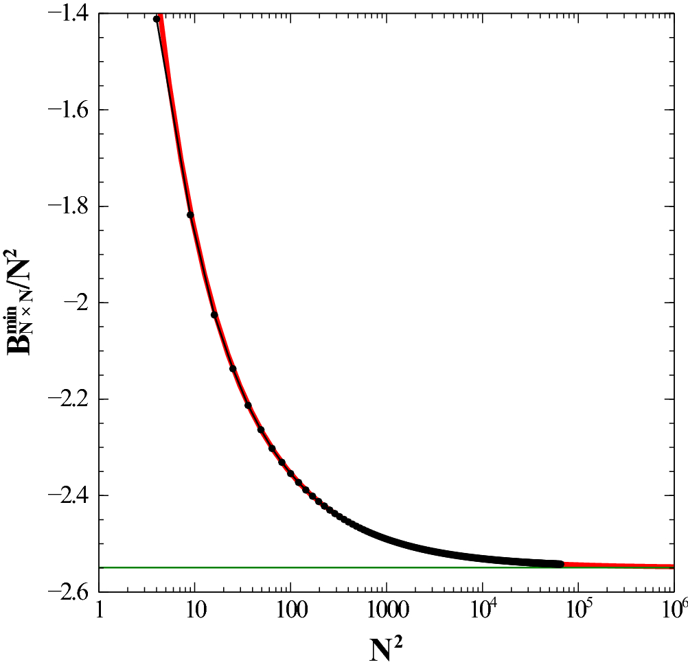
Figure 2
From: Minimum and maximum energy for crystals of magnetic dipoles

Dependence of the dimensionless energy (per dipole), \(B^{\min }_{N \times N}/N^2\) (which represents a lower bound to the true ground state energy) as a function of the total number of dipoles, \(N \times N\). The fit is represented by the solid line (red). Logarithmic scale used for the x axis. Energy is given in units of \({\frac{\mu _0}{4\pi } \frac{\mu ^2}{a^3}}\). See text for details. (Image created with Veusz 1.18; https://www.veusz.github.io).