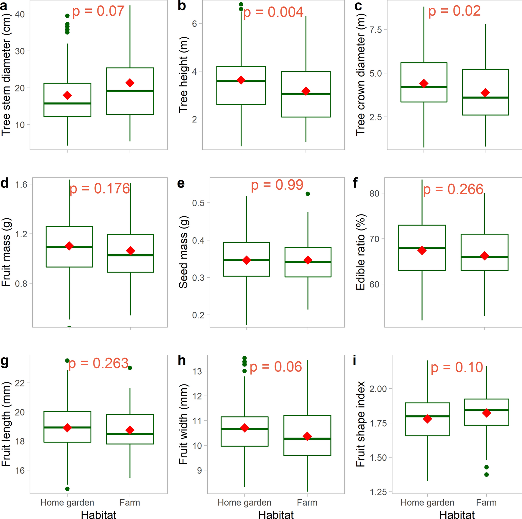
Figure 4

Quantitative variation of Synsepalum dulcificum tree- and fruit-traits across the habitat-types under study. Median values are in bold, red diamond shapes represent mean values, dots above and below boxplots are outliers, and lower and upper tails represent minimum and maximum values, respectively.