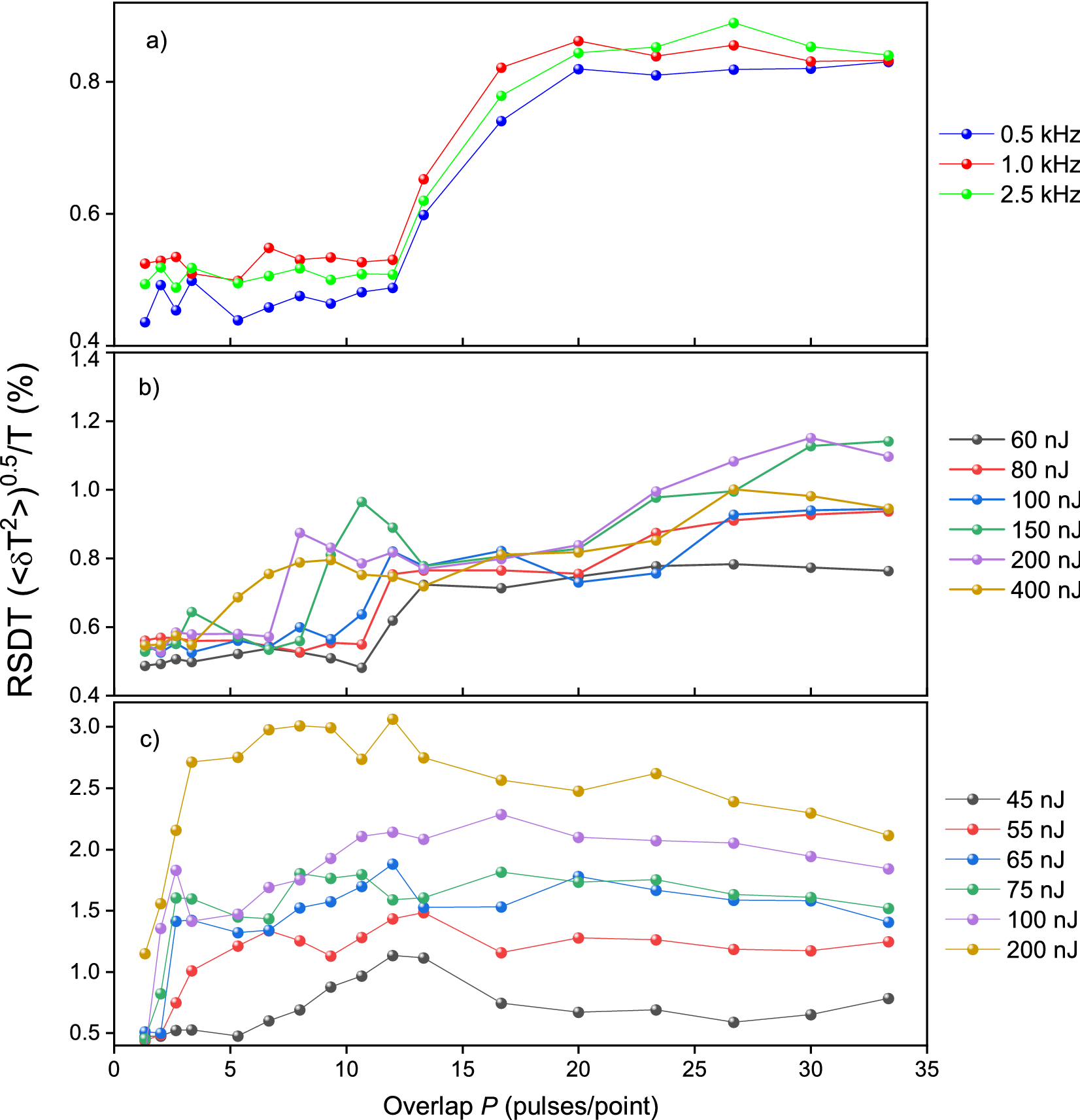
Figure 3
From: Plastic deformation as nature of femtosecond laser writing in YAG crystal

Plots of the RSDT of YAG: Nd crystal (a,b) and silica glass (c) against the overlap P at different laser pulse repetition rates and constant laser pulse energy incident on the sample Ein = 70 nJ (a), and different laser pulse energies Ein and constant rep rate equal to 1 kHz (b,c).