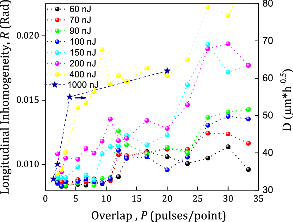
Figure 4
From: Plastic deformation as nature of femtosecond laser writing in YAG crystal

Plot of the longitudinal inhomogeneity R (circles) and etching rate D (stars) of tracks in YAG:Nd crystal against the overlap. The energies Ein of laser pulses incident on the sample are shown on the graph.