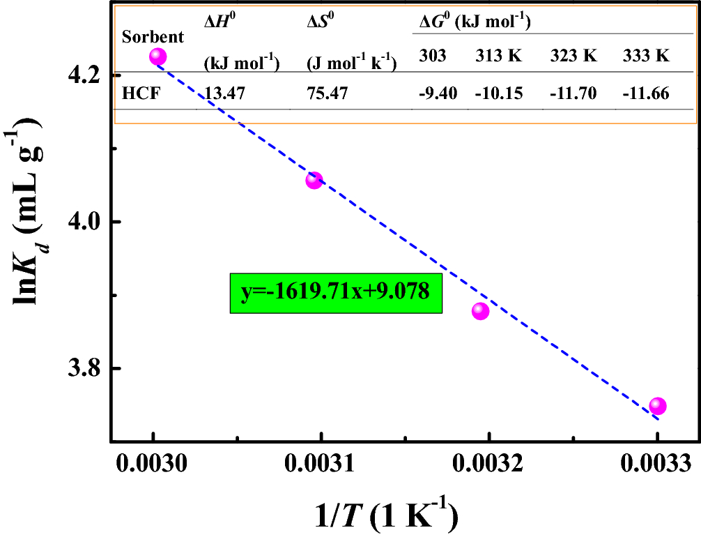
Figure 7

lnKd versus 1/T for U(VI) adsorption onto HCF. pH = 3.0, C(U)initial = 10 mg L−1, Csorbent = 0.4 g L−1, T = 303 K, 313 K, 323 K and 333 K, and contact time = 24 h.

lnKd versus 1/T for U(VI) adsorption onto HCF. pH = 3.0, C(U)initial = 10 mg L−1, Csorbent = 0.4 g L−1, T = 303 K, 313 K, 323 K and 333 K, and contact time = 24 h.