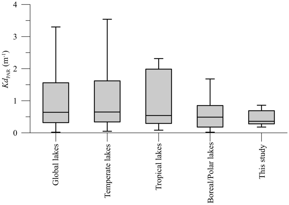
Figure 1

Box plots showing the distribution of the photosynthetically active radiation attenuation coefficient (as KdPAR, m−1) for global lakes (n = 421); the lakes were sorted by climatic areas (temperate, tropical, boreal, and polar), and compared with the lakes where the experiments were performed. The boxes show the median KdPAR plus the lower (25%) and upper (75%) quartile while the whiskers indicate 1.5-times the interquartile range.