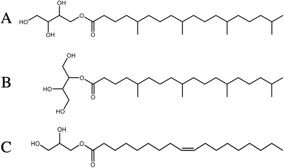
Figure 1

Chemical structure of 1-O-(5, 9, 13, 17-tetramethyloctadecanoyl)-rac-erythritol (A) and 2-O-(5, 9, 13, 17-tetramethyloctadecanoyl)-rac-erythritol (B). The lipid used in this study was a mixture of 92% 1-O- and 8% 2-O-isomers, which is abbreviated to EROCOC17+4. In the A2AR crystallization trials, a 9:1 (w/w) mixture of EROCOC17+4 and cholesterol was employed as a crystallization matrix, which is referred to as an EROCOC17+4-matrix (see Methods Crystallization section for more details). The isoprenoid chain is abbreviated as Cp+q, where p and q stand for the number of carbon atoms in the longest unbranched carbon chain in the molecule (excluding the carbonyl carbon) and the number of methyl branches along it, respectively. Thus, EROCOC17+4 represents a lipid molecule, in which the C17+4 chain is linked to the erythritol head group (ER) via an ester linkage (OCO). (C) Chemical structure of 1-(cis-9-octadecanoyl)-rac-glycerol (MO). It is noted that EROCOC17+4 and MO both possess the acyl chain of 18 carbon atoms-long.