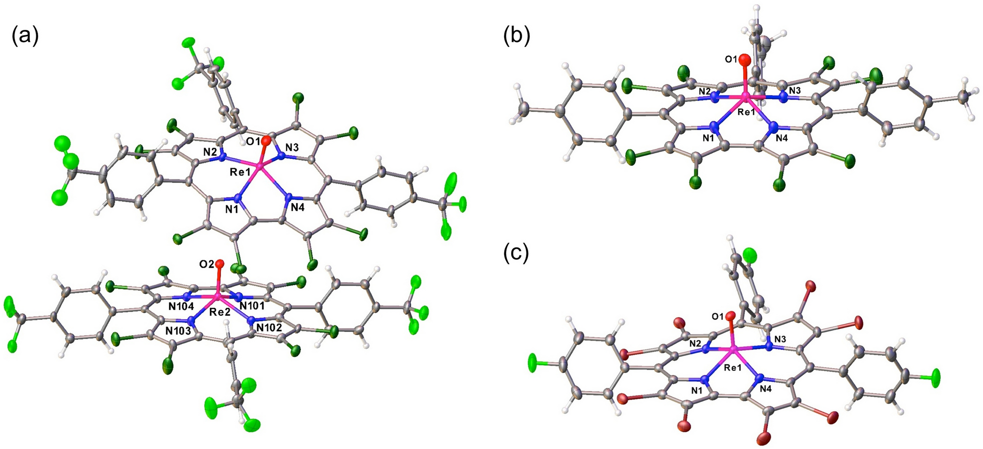
Figure 4
From: Synthesis and molecular structure of perhalogenated rhenium-oxo corroles

Thermal ellipsoid plots (50%) for (a) Re[Cl8TpCF3PC](O), (b) Re[Cl8TpCH3PC](O), and (c) Re[Br8TpFPC](O). Selected distances (Å) for (a) Re[Cl8TpCF3PC](O): Re1-N1 1.997(5), Re1-N2 2.015(4), Re1-N3 2.025(4), Re1-N4 1.995(4), and Re1-O1 1.670(4); Re2-N101 1.989(4), Re2-N102 2.014(4), Re2-N103 2.019(4), Re2-N104 1.980(4), Re2-O2 1.672. Selected distances (Å) for Re[Cl8TpCH3PC](O): Re1-N1 1.995(3), Re1-N2 2.019(3), Re1-N3 2.017(3), Re1-N4 1.992(3), and Re1-O1 1.677(3). Selected distances (Å) for Re[Br8TpFPC](O): Re1-N1 1.996(2), Re1-N2 2.019(2), Re1-N3 2.011(2), Re1-N4 1.997(2), and Re1-O1 1.673(2).