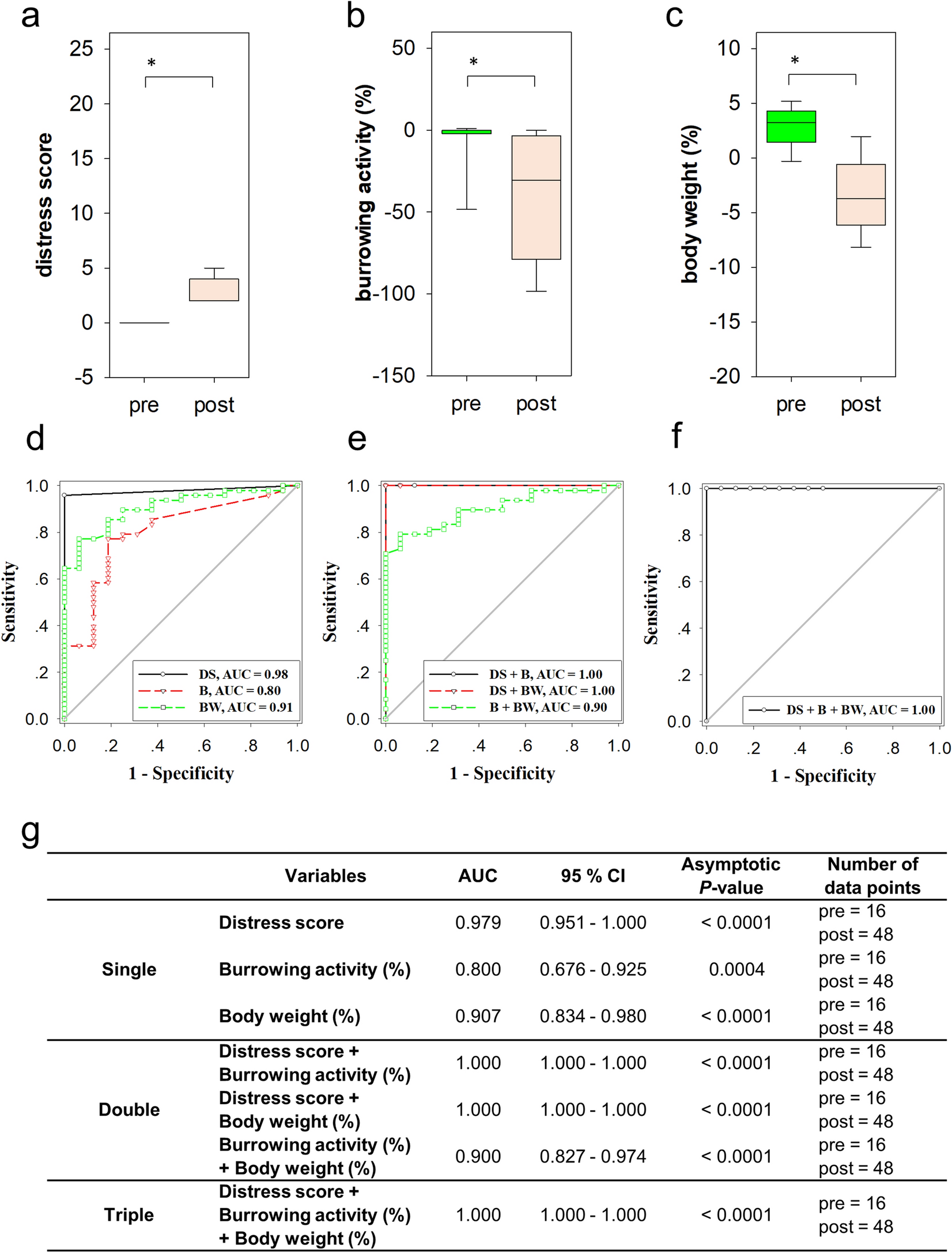
Figure 2

Distress before and after BDL. The distress score (a) was increased (Mann–Whitney rank sum test, P ≤ 0.001), burrowing activity (b) was decreased (Mann–Whitney rank sum test, P ≤ 0.001) and body weight (c) was also decreased (Mann–Whitney rank sum test, P ≤ 0.001), when comparing data taken before BDL (pre) to data taken after BDL (post). ROC curve analysis that computed the area under the curve (AUC) for single (d), two (e) or all three (f) distress parameters. The performance of single and multiple parameters is described by presenting the AUC, the 95% confidence interval (CI) and the asymptotic P-value (g). Data of 16 mice, pre: n = 16 data points, post: n = 48 data points.